Open Access

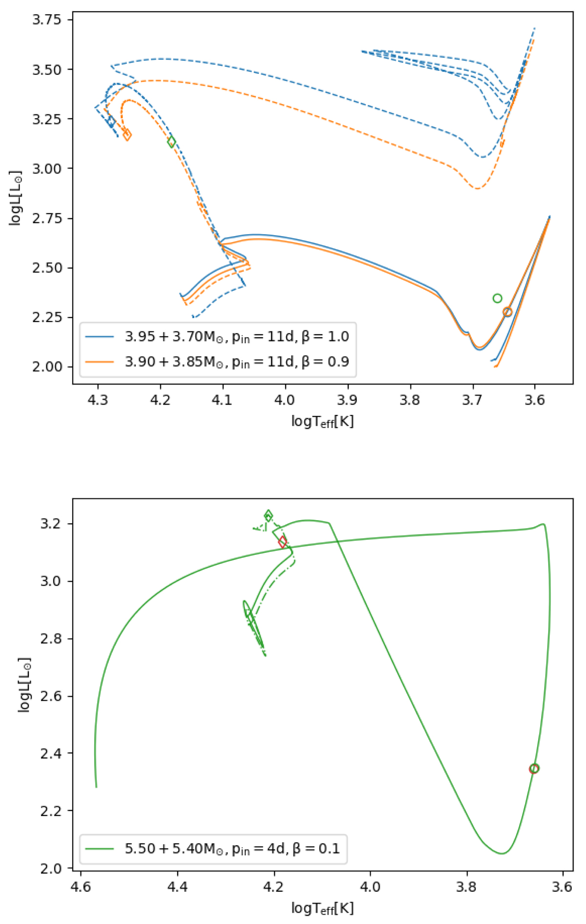
Fig. 17.

image

Download original image

Evolutionary tracks for the models described in Table 5. Upper plot: the donors (circles) and gainers (diamonds) are shown in the same colors as the evolutionary lines (see legend in inset), whereas the observed values are shown in green. Lower plot: the modeled values are again in the same color as the evolutionary line and the observed values are in red. The initial masses and periods, along with the accretion efficiency, are shown for the models.

Current usage metrics show cumulative count of Article Views (full-text article views including HTML views, PDF and ePub downloads, according to the available data) and Abstracts Views on Vision4Press platform.

Data correspond to usage on the plateform after 2015. The current usage metrics is available 48-96 hours after online publication and is updated daily on week days.

Initial download of the metrics may take a while.