Open Access

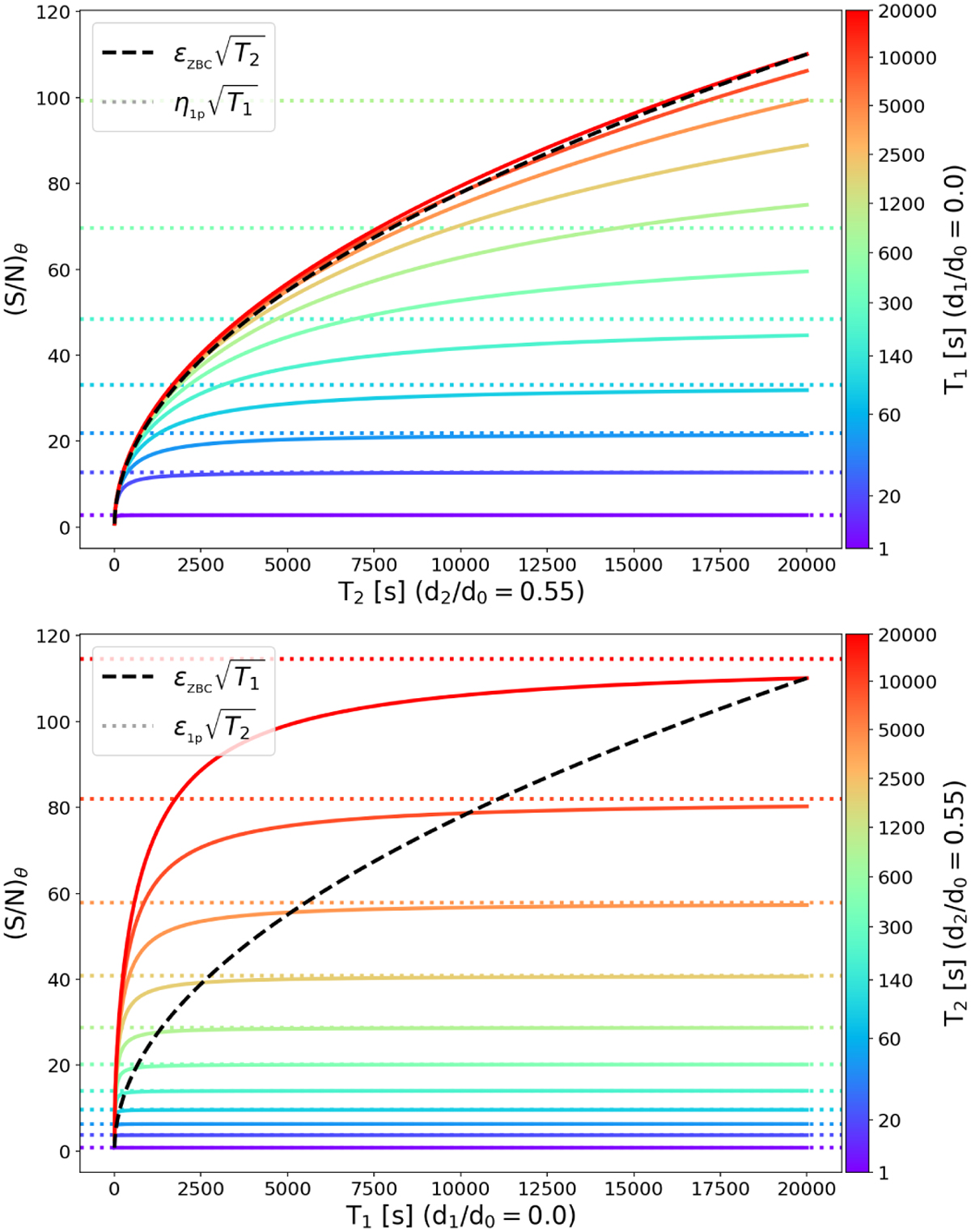
Fig. 7

image

Download original image

Trend of (S/N)θ as function of the integration time, with ?1 fixed (upper panel) and with T2 fixed (lowerpanel). The dashed black curves show the trend in case of equal integration times, and the horizontal dotted lines show the maximum limit of each of the corresponding coloured curves.

Current usage metrics show cumulative count of Article Views (full-text article views including HTML views, PDF and ePub downloads, according to the available data) and Abstracts Views on Vision4Press platform.

Data correspond to usage on the plateform after 2015. The current usage metrics is available 48-96 hours after online publication and is updated daily on week days.

Initial download of the metrics may take a while.