Open Access

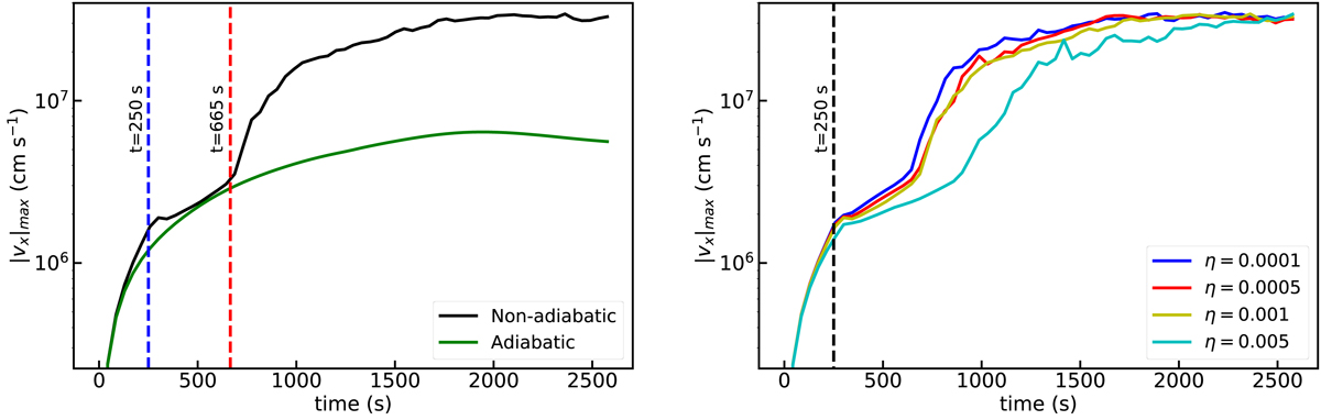
Fig. 13.

image

Download original image

Maximum absolute value of vx as a function of time. The left panel represents the velocity evolution of the current layer system for two different cases: adiabatic medium, and non-adiabatic medium when radiative energy loss and background heating are incorporated for resistivity, η = 0.001 and plasma-β = 0.2. The right panel is for non-adiabatic evolution for different η values keeping all the other parameters the same. The vertical dashed lines represent the different phases of the evolution.

Current usage metrics show cumulative count of Article Views (full-text article views including HTML views, PDF and ePub downloads, according to the available data) and Abstracts Views on Vision4Press platform.

Data correspond to usage on the plateform after 2015. The current usage metrics is available 48-96 hours after online publication and is updated daily on week days.

Initial download of the metrics may take a while.