Open Access
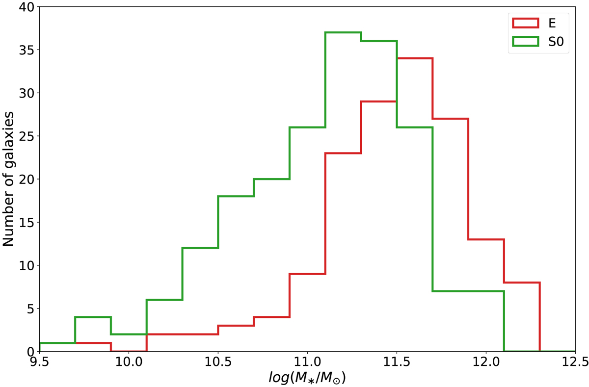
Fig. 14.

Download original image
Stellar mass distributions for EFIGI ellipticals (E and cD galaxies noted as E) and lenticulars (S0, S0+ and S0− galaxies noted as S0) with Incl-Elong ≤ 2 in the Red Sequence. Ellipticals dominate the high-mass end of the Red Sequence, where log(M*/M⊙) > 11.5, and lenticulars dominate the lower-mass part.
Current usage metrics show cumulative count of Article Views (full-text article views including HTML views, PDF and ePub downloads, according to the available data) and Abstracts Views on Vision4Press platform.
Data correspond to usage on the plateform after 2015. The current usage metrics is available 48-96 hours after online publication and is updated daily on week days.
Initial download of the metrics may take a while.