Open Access

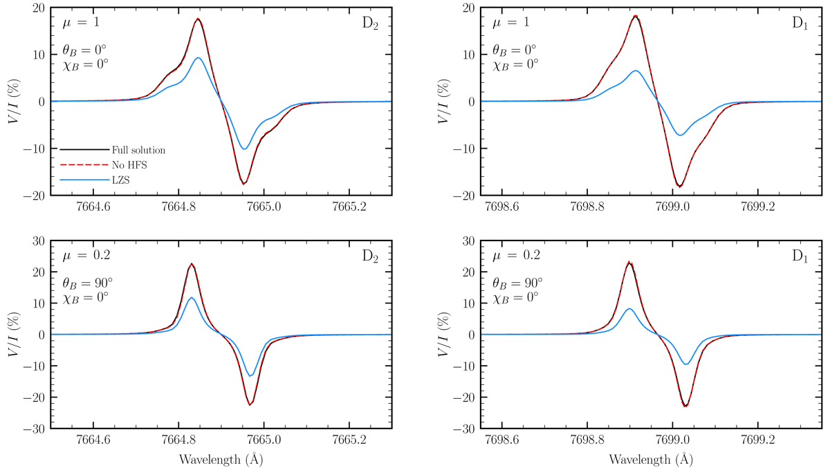
Fig. 13.

image

Download original image

Stokes V/I profiles as a function of wavelength, for the spectral ranges centered on the K I D2 (left panels) and D1 (right panels) lines, respectively. Upper panels: an LOS of μ = 1 is considered in the presence of vertical magnetic fields. Lower panels: an LOS of μ = 0.2 is considered in the presence of horizontal fields with azimuth χB = 0°. A field strength of 200 G is considered for both geometries. The results of RT calculations accounting for HFS and accounting for the Paschen-Back (PB) effect (black solid curves) are compared to calculations neglecting HFS in the atomic model (red dashed-dotted curves) and calculations accounting for HFS but making the linear Zeeman splitting (LZS) approximation as described in the text (blue solid curves).

Current usage metrics show cumulative count of Article Views (full-text article views including HTML views, PDF and ePub downloads, according to the available data) and Abstracts Views on Vision4Press platform.

Data correspond to usage on the plateform after 2015. The current usage metrics is available 48-96 hours after online publication and is updated daily on week days.

Initial download of the metrics may take a while.