Open Access

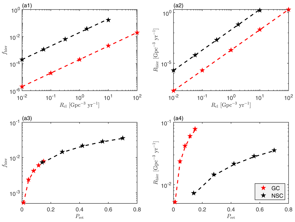
Fig. 1.

image

Download original image

Fractions (left) and rates (right) of hierarchical mergers as a function of the BBH merger rates (top) and retention probabilities (bottom) in GCs (red) and NSCs (black). The derived values of the fractions and rates are obtained according to Eqs. (4) and (5) (star symbols), respectively. The approximate values were calculated using Eqs. (7) and (6) (dashed line). The fractions and rates are plotted as a function of BBH merger rates (retention probabilities) with fixed retention probabilities of 4% and 40% (BBH merger rates fixed to 10 Gpc−3 yr−1 and 1 Gpc−3 yr−1) for GCs and NSCs, respectively. Ncl ∼ 1 Mpc−3 and ∼0.01 Mpc−3 and NBH ∼ 2000 and ∼2 × 104 are adopted for GCs and NSCs, respectively.

Current usage metrics show cumulative count of Article Views (full-text article views including HTML views, PDF and ePub downloads, according to the available data) and Abstracts Views on Vision4Press platform.

Data correspond to usage on the plateform after 2015. The current usage metrics is available 48-96 hours after online publication and is updated daily on week days.

Initial download of the metrics may take a while.