Open Access

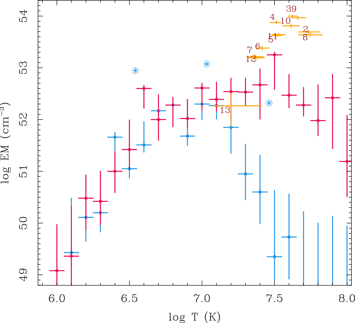
Fig. 7.

image

Download original image

EMDs derived from the RGS line fluxes for the quiescent (blue) and flaring phases (red). Asterisks and solid points mark the EM derived from EPIC detectors for the quiescent (blue symbol, 3T APEC) and flaring intervals, (red symbols and interval numbers, 1T APEC).

Current usage metrics show cumulative count of Article Views (full-text article views including HTML views, PDF and ePub downloads, according to the available data) and Abstracts Views on Vision4Press platform.

Data correspond to usage on the plateform after 2015. The current usage metrics is available 48-96 hours after online publication and is updated daily on week days.

Initial download of the metrics may take a while.