Open Access

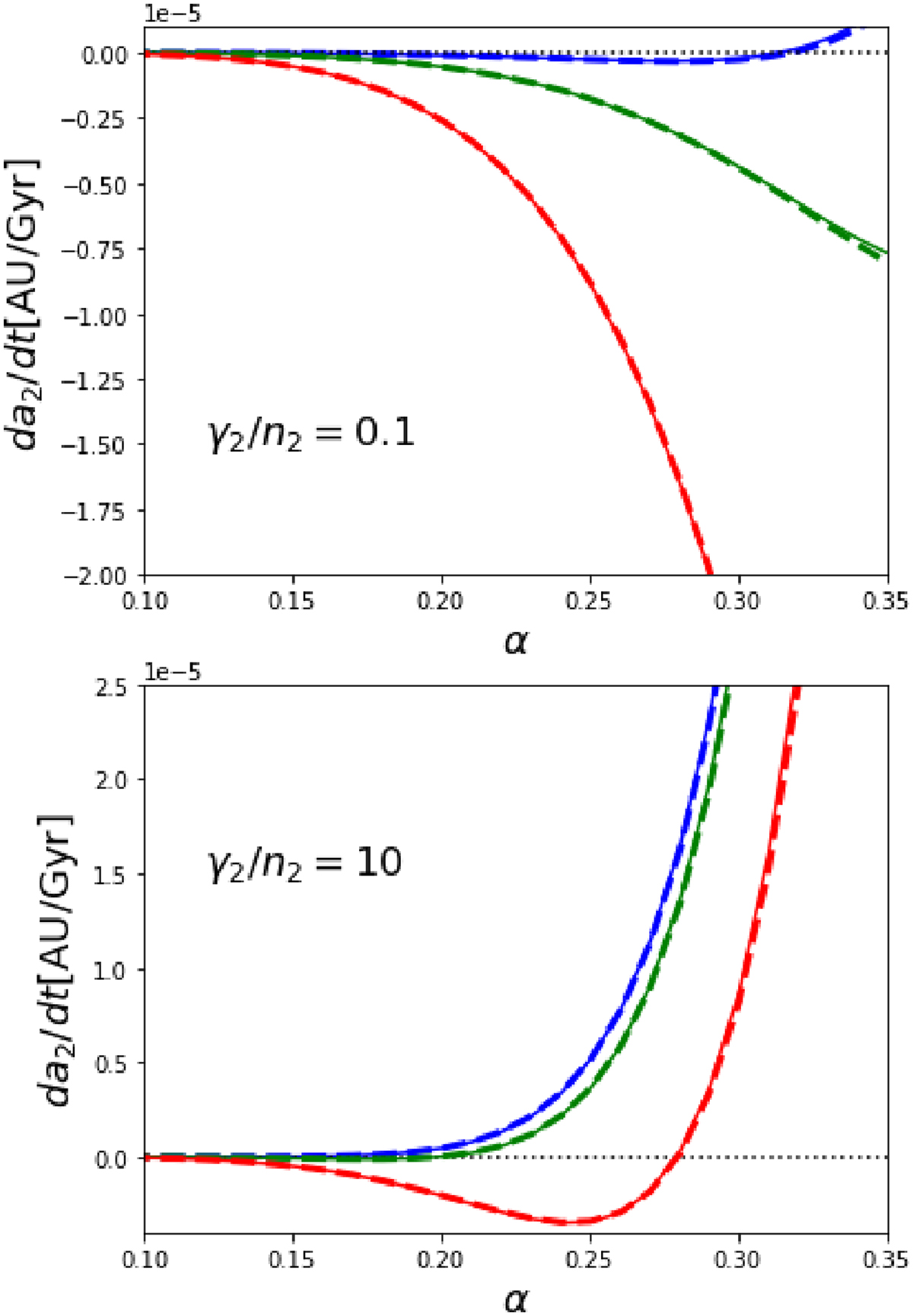
Fig. 4

image

Download original image

Secular semimajor axis evolution of a pseudo-synchronous CB planet due to creep tides, as a function of its distance to the binary measured with α = a1/a2. In the different panels CB planets in different viscosity regimes are considered. The different types of curves and different colors are the same as those for Fig. 3.

Current usage metrics show cumulative count of Article Views (full-text article views including HTML views, PDF and ePub downloads, according to the available data) and Abstracts Views on Vision4Press platform.

Data correspond to usage on the plateform after 2015. The current usage metrics is available 48-96 hours after online publication and is updated daily on week days.

Initial download of the metrics may take a while.