Open Access

Fig. 1

image

Download original image

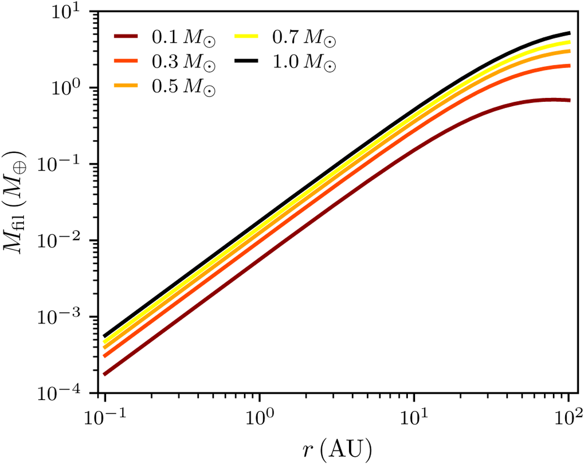
Total mass of filaments formed through streaming instability. The mass of the filament Mfil = 2πrΣgasΖfilηr increases with distances from ≲10−3 Μ in the inner disc to almost 10 Μ in the outer disc. Mfil is the maximum mass the embryo can obtain by accreting planetesimals. The filament masses for different stellar masses are colour-coded.

Current usage metrics show cumulative count of Article Views (full-text article views including HTML views, PDF and ePub downloads, according to the available data) and Abstracts Views on Vision4Press platform.

Data correspond to usage on the plateform after 2015. The current usage metrics is available 48-96 hours after online publication and is updated daily on week days.

Initial download of the metrics may take a while.