Fig. 7.

Download original image
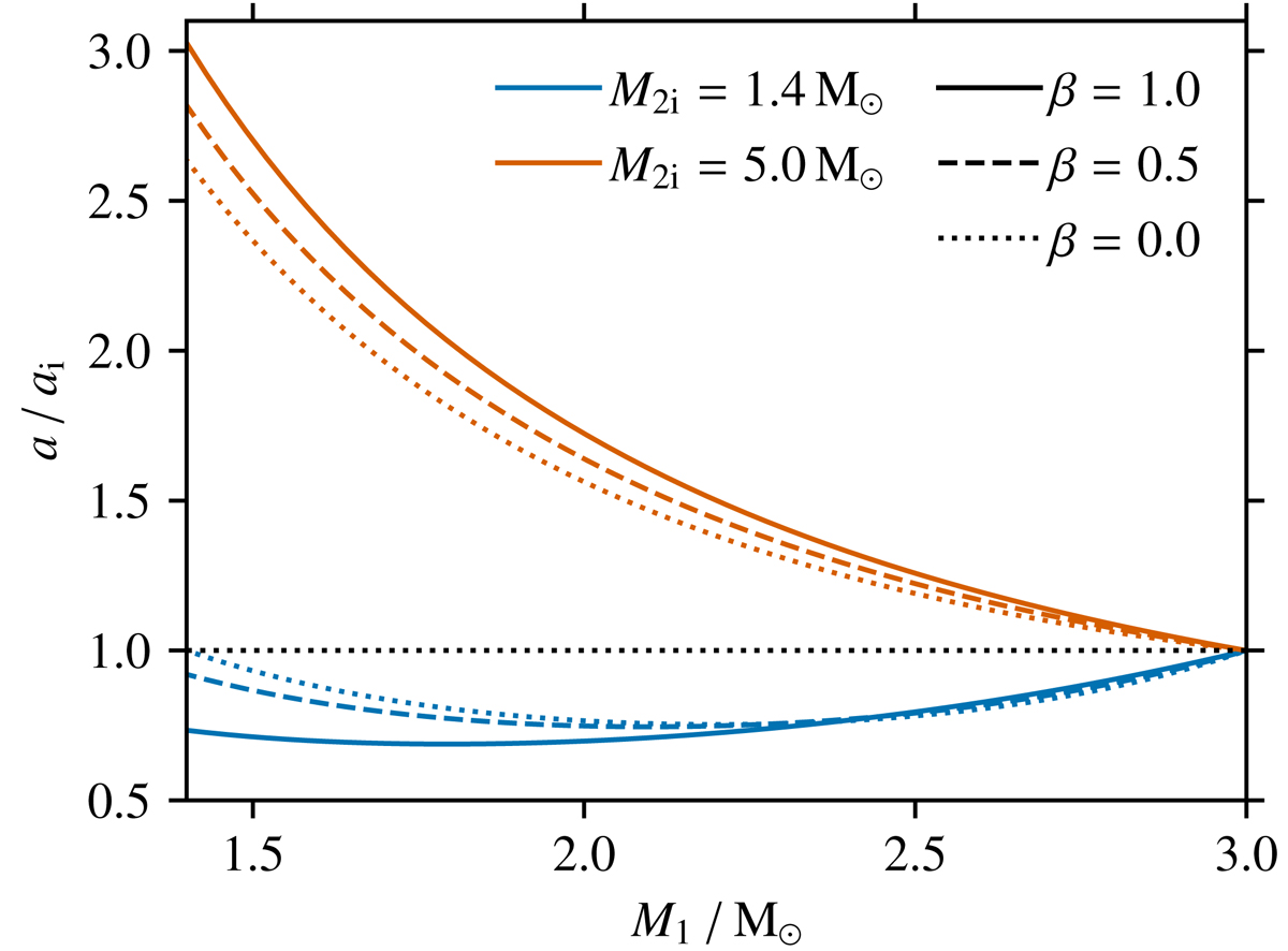
Hypothetical orbital evolution of the remnant binary system. The ratio of present-day to initial orbital separation, a/ai, is plotted as a function of the mass of the remnant primary star, M1. Evolution is from right to left, that is, from high masses M1 to low masses. The initial companion masses are M2i = 1.4 M⊙ and 5.0 M⊙, and three different mass ejection fractions β are applied for each mass.
Current usage metrics show cumulative count of Article Views (full-text article views including HTML views, PDF and ePub downloads, according to the available data) and Abstracts Views on Vision4Press platform.
Data correspond to usage on the plateform after 2015. The current usage metrics is available 48-96 hours after online publication and is updated daily on week days.
Initial download of the metrics may take a while.