Open Access

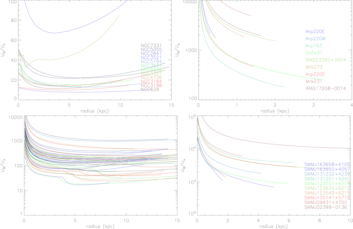
Fig. 12.

image

Download original image

Ratios between the magnetic and CR electron energy densities. Upper left: local spiral galaxies. Upper right: low-z starbursts. Lower left: high-z star-forming galaxies. The kink in the radial profiles is caused by the sudden onset of a galactic wind. Lower right: high-z starburst galaxies.

Current usage metrics show cumulative count of Article Views (full-text article views including HTML views, PDF and ePub downloads, according to the available data) and Abstracts Views on Vision4Press platform.

Data correspond to usage on the plateform after 2015. The current usage metrics is available 48-96 hours after online publication and is updated daily on week days.

Initial download of the metrics may take a while.