Fig. 3.

Download original image
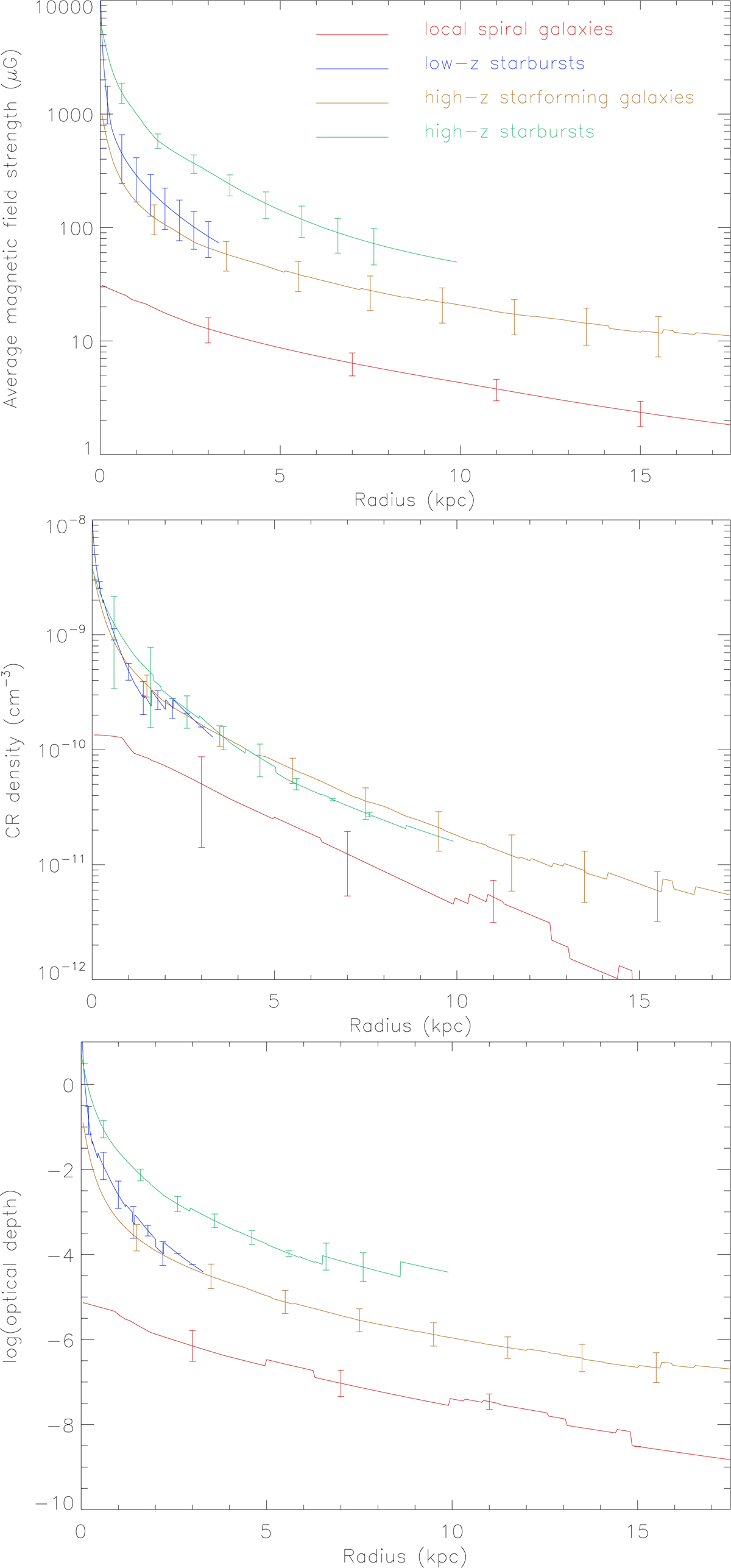
Model median radial profiles of the magnetic field strength (upper panel), CR electron density (middle panel), and free-free optical depth at ν = 1.4 GHz (lower panel) for the four galaxy samples with the associated semi-interquartile ranges. The jumps at R > 10 kpc are caused by taking the median of models with the different radial sizes.
Current usage metrics show cumulative count of Article Views (full-text article views including HTML views, PDF and ePub downloads, according to the available data) and Abstracts Views on Vision4Press platform.
Data correspond to usage on the plateform after 2015. The current usage metrics is available 48-96 hours after online publication and is updated daily on week days.
Initial download of the metrics may take a while.