Open Access
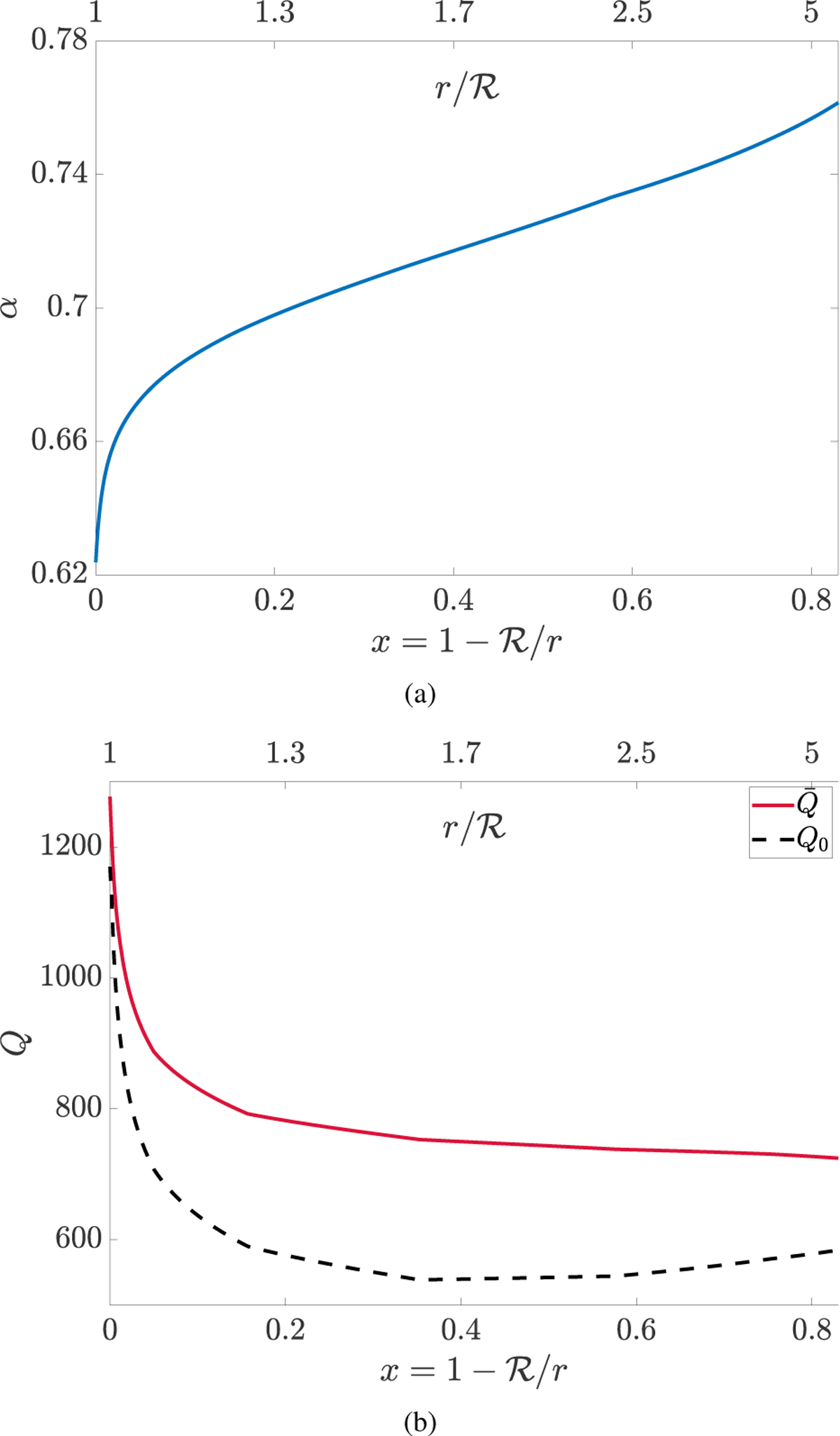
Fig. 4

Download original image
Radial profile of the line-distribution parameters of the final snapshot of Mod-0. Plot (a) shows the α parameter and (b) the parameter (solid red line) and Q0 parameter (dashed black line).
Current usage metrics show cumulative count of Article Views (full-text article views including HTML views, PDF and ePub downloads, according to the available data) and Abstracts Views on Vision4Press platform.
Data correspond to usage on the plateform after 2015. The current usage metrics is available 48-96 hours after online publication and is updated daily on week days.
Initial download of the metrics may take a while.