Fig. 10

Download original image
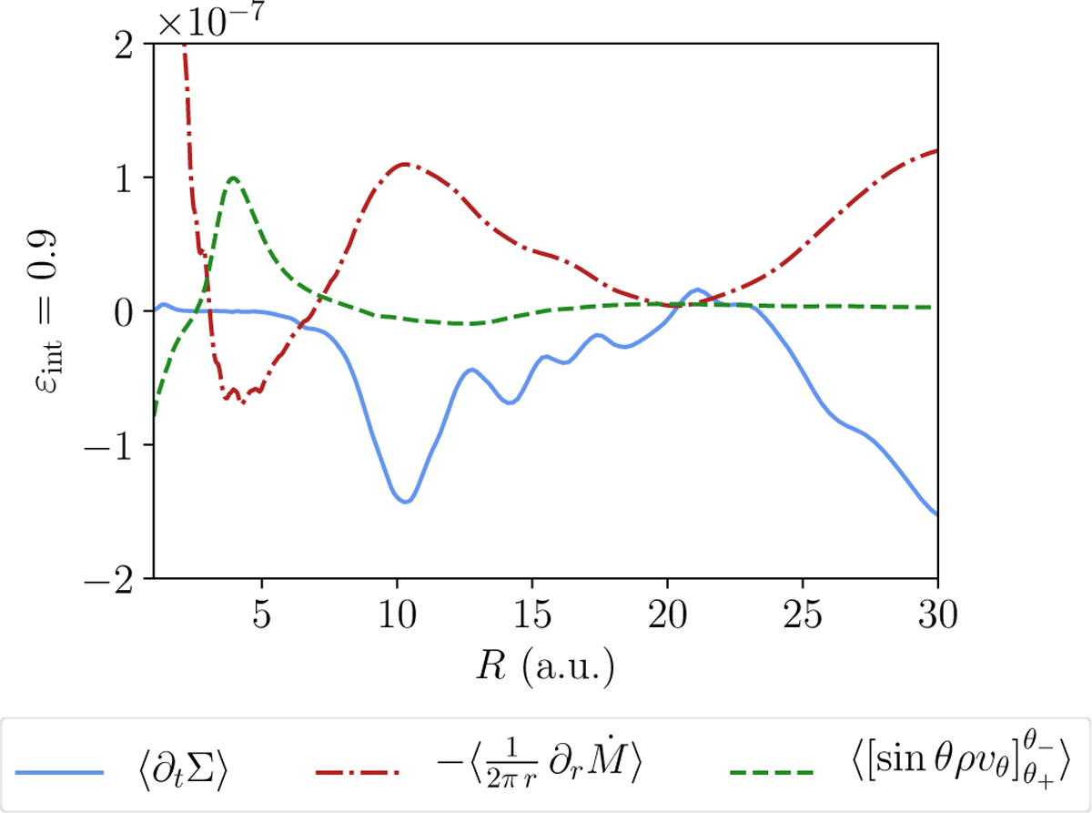
Mass conservation for ɛint = 0.9. The time derivative of Σ remains perfectly constant and equal to zero inside the cavity and only becomes moderately negative at the cavity edge R = 10. This suggests that the simulation indeed reaches a steady state for radii up to ≈8. The mass conservation is also correctly recovered. The three lines do not add up to zero because we used a moving average for better visibility, and the quantities are time-averaged on a sample selection of output flies that do not contain all the time steps computed by the code.
Current usage metrics show cumulative count of Article Views (full-text article views including HTML views, PDF and ePub downloads, according to the available data) and Abstracts Views on Vision4Press platform.
Data correspond to usage on the plateform after 2015. The current usage metrics is available 48-96 hours after online publication and is updated daily on week days.
Initial download of the metrics may take a while.