Fig. 14

Download original image
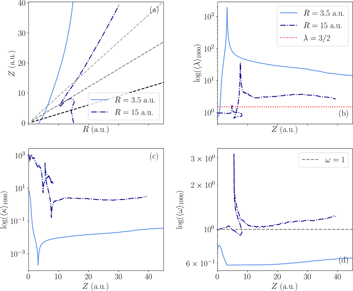
General structure of the wind and MHD invariants. First panel shows the field lines in the internal and external disc. The grey dashed lines represent the surfaces at h/R = 0.3; 0.6 and 0.9. The three other plots display the MHD invariants for the internal field line (full, light blue) and the external one (semi-dashed, dark blue). The invariants are time averaged on the last 1000 orbits.
Current usage metrics show cumulative count of Article Views (full-text article views including HTML views, PDF and ePub downloads, according to the available data) and Abstracts Views on Vision4Press platform.
Data correspond to usage on the plateform after 2015. The current usage metrics is available 48-96 hours after online publication and is updated daily on week days.
Initial download of the metrics may take a while.