Open Access
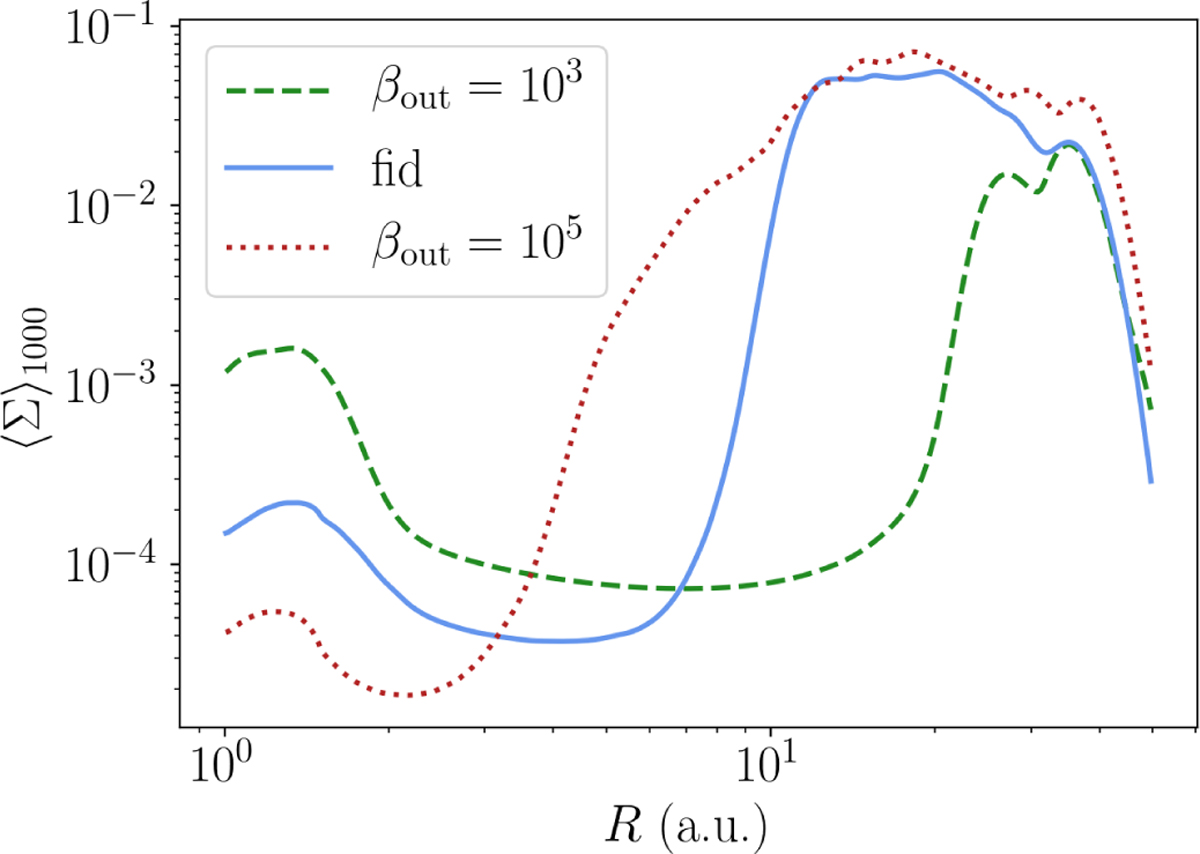
Fig. 22

Download original image
Impact of initial external magnetisation on the surface density. We average the profile on the last 1000 orbrts at Rint. For B5Bin0Am0, we average on 1000 orbhs at Rint occurring between the 2 burst events seen in Fig. 21.
Current usage metrics show cumulative count of Article Views (full-text article views including HTML views, PDF and ePub downloads, according to the available data) and Abstracts Views on Vision4Press platform.
Data correspond to usage on the plateform after 2015. The current usage metrics is available 48-96 hours after online publication and is updated daily on week days.
Initial download of the metrics may take a while.