Free Access

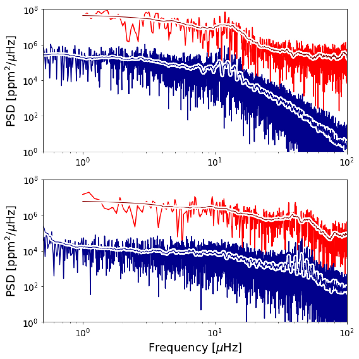
Fig. 3.

image

Download original image

Power-spectral density for two oscillating RG primaries in binary systems. The PSDs of Kepler and TESS data are shown in blue and red, respectively. The smoothed power is depicted as a solid line. For better comparison, the TESS-PSD is shifted by two orders of magnitude.

Current usage metrics show cumulative count of Article Views (full-text article views including HTML views, PDF and ePub downloads, according to the available data) and Abstracts Views on Vision4Press platform.

Data correspond to usage on the plateform after 2015. The current usage metrics is available 48-96 hours after online publication and is updated daily on week days.

Initial download of the metrics may take a while.