Fig. 1.

Download original image
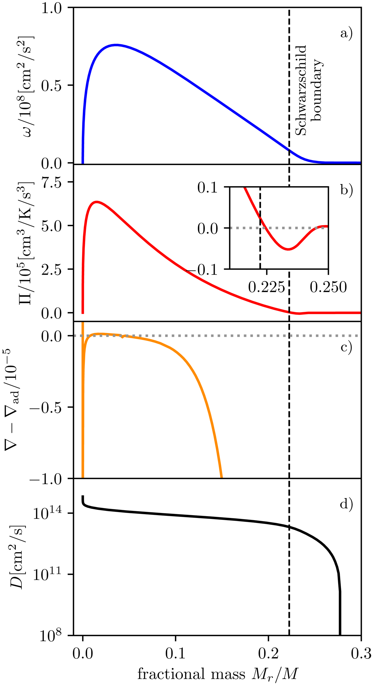
Summary of the interior structure of the convective core of a 5 M⊙ main-sequence model, calculated with the 3-equation model. The dashed black line indicates the Schwarzschild boundary. The different panels show: (a) the TKE, (b) the convective flux variable, (c) the super-adiabatic temperature gradient, and (d) the diffusion coefficient according to Eq. (5). The selected stellar model has a central hydrogen abundance of Xc = 0.6. The inset in panel b shows the region of negative convective flux just beyond the Schwarzschild boundary.
Current usage metrics show cumulative count of Article Views (full-text article views including HTML views, PDF and ePub downloads, according to the available data) and Abstracts Views on Vision4Press platform.
Data correspond to usage on the plateform after 2015. The current usage metrics is available 48-96 hours after online publication and is updated daily on week days.
Initial download of the metrics may take a while.