Open Access
Fig. 10

Download original image
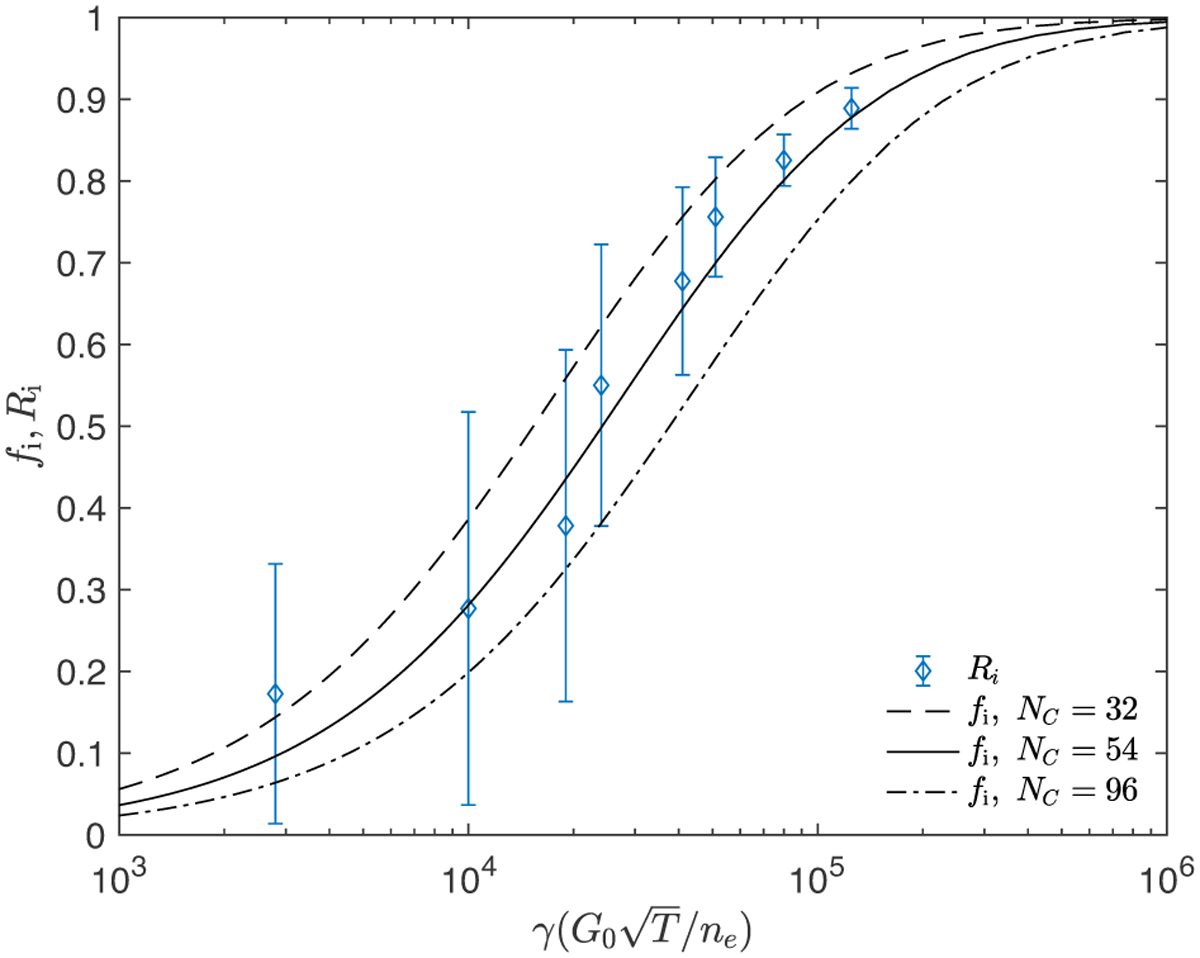
Variation with γ of the PAH ionization fraction Ri in NGC 7023 (diamonds with errobars). Values derived from the map in Fig. 2 for the eight angular distances between 20 and 55″ from HD 200775 given in Table 1. The values of fi from the PAH model are shown with lines for a gas temperature T = 500 K, and three PAH sizes.
Current usage metrics show cumulative count of Article Views (full-text article views including HTML views, PDF and ePub downloads, according to the available data) and Abstracts Views on Vision4Press platform.
Data correspond to usage on the plateform after 2015. The current usage metrics is available 48-96 hours after online publication and is updated daily on week days.
Initial download of the metrics may take a while.