Open Access
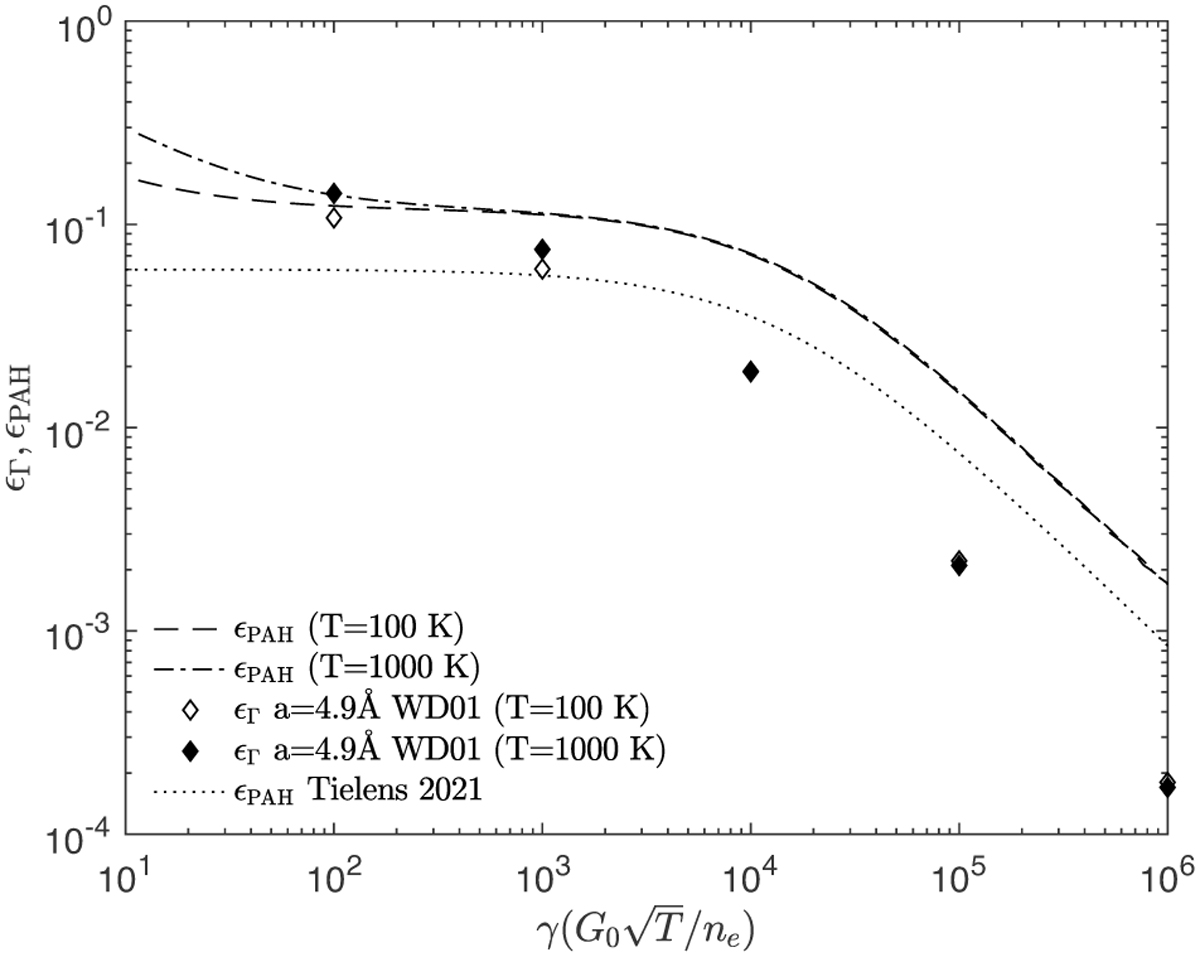
Fig. 7

Download original image
Photoelectric efficiency ϵPAH computed for NC = 54, Teff = 30 000 K, and T = 100 and 1000 K with the PAH heating model. For comparison, we give the photoelectric efficiency ϵΓ computed by WDOl for grains with a size a = 4.9 A equivalent to NC = 54 (Eq. (C.2)), and the heating efficiency for PAHs given in Tielens (2021).
Current usage metrics show cumulative count of Article Views (full-text article views including HTML views, PDF and ePub downloads, according to the available data) and Abstracts Views on Vision4Press platform.
Data correspond to usage on the plateform after 2015. The current usage metrics is available 48-96 hours after online publication and is updated daily on week days.
Initial download of the metrics may take a while.