Fig. 12

Download original image
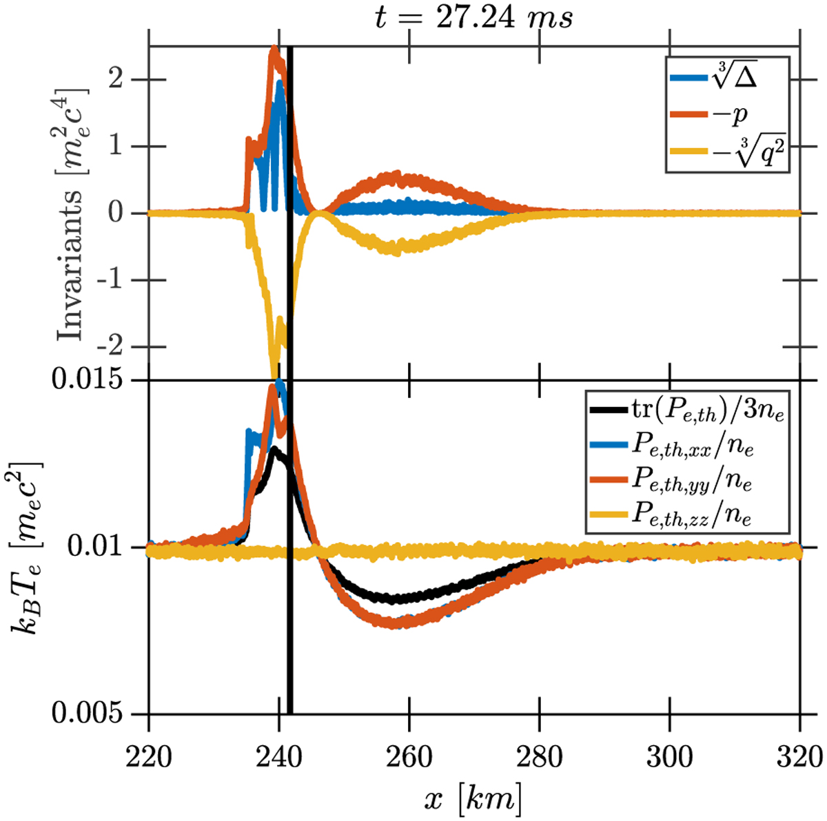
Profiles of the invariants of Pe/ne described in Appendix A (upper panel) and of the different electron temperatures. As the non-diagonal terms of Pe/ne have values of close to zero, the eigenvalues of Pe/ne are its diagonal terms. The vertical black line delimits the region where the mirror instability might occur (on the left side) as the magnetic field strength is low.
Current usage metrics show cumulative count of Article Views (full-text article views including HTML views, PDF and ePub downloads, according to the available data) and Abstracts Views on Vision4Press platform.
Data correspond to usage on the plateform after 2015. The current usage metrics is available 48-96 hours after online publication and is updated daily on week days.
Initial download of the metrics may take a while.