Free Access
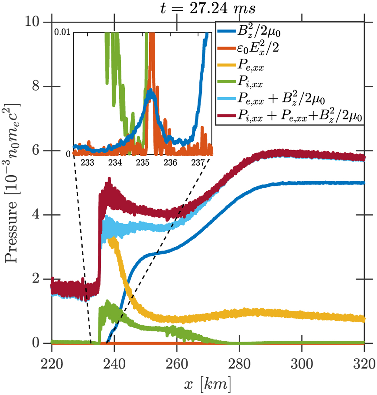
Fig. 8

Download original image
Pressure profiles at the DCBL. Ps,xx represents the xx component of the total pressure (dynamic plus thermal) for each species at t = 27.24 ms. The inset shows a zoom in to the foot of the ramp.
Current usage metrics show cumulative count of Article Views (full-text article views including HTML views, PDF and ePub downloads, according to the available data) and Abstracts Views on Vision4Press platform.
Data correspond to usage on the plateform after 2015. The current usage metrics is available 48-96 hours after online publication and is updated daily on week days.
Initial download of the metrics may take a while.