Fig. 9

Download original image
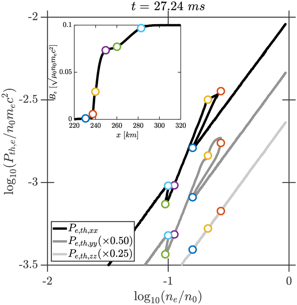
Smoothed diagonal components of the electron thermal pressure tensor as a function of the electron number density at the DCBL in logscale, at t = 27.24 ms. Pe,th,yy and Pe,th,zz have been purposely scaled so that they do not to overlap with Pe,th,xx. Five inflexion points (blue, red, yellow, green, and cyan) have been identified, plus one (violet) for a later purpose. Their locations within the DCBL are indicated within the inset where Bz is plotted as a function of x.
Current usage metrics show cumulative count of Article Views (full-text article views including HTML views, PDF and ePub downloads, according to the available data) and Abstracts Views on Vision4Press platform.
Data correspond to usage on the plateform after 2015. The current usage metrics is available 48-96 hours after online publication and is updated daily on week days.
Initial download of the metrics may take a while.