Open Access

Fig. 6

image

Download original image

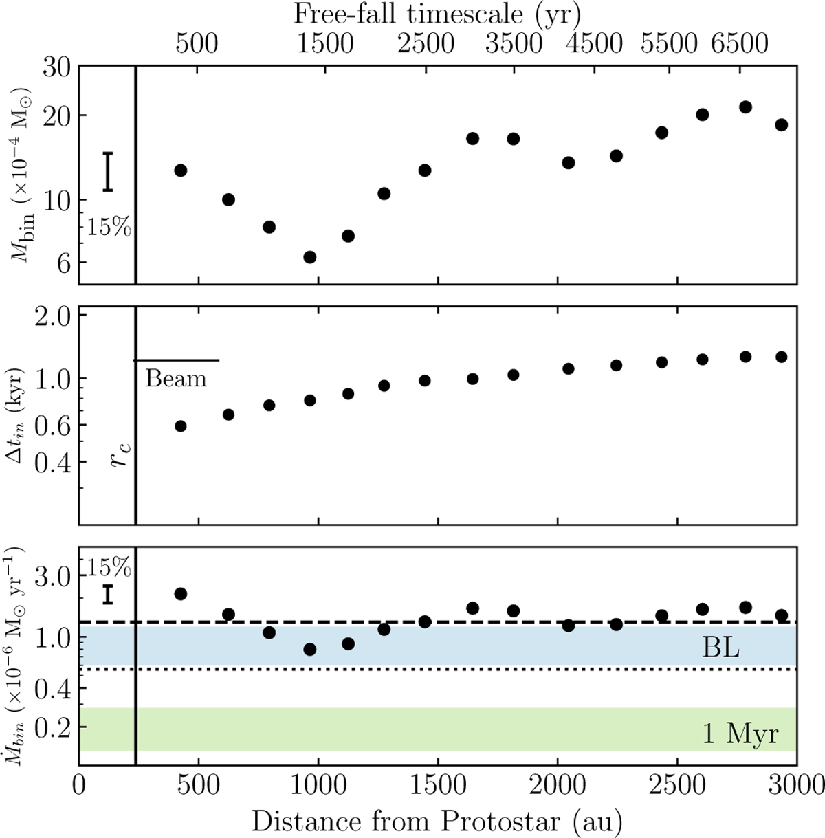
Mass, timescale, and infall rate with respect to the distance to the protostar along the streamline. Δtin is obtained from the model with Menv = 0.39 M. The dotted line represents the mean infall rate obtained with the free-fall timescale from rest, , whereas the dashed line marks the mean infall rate obtained from the streamline model, (see Table 4). The blue and green areas correspond to the estimated accretion rates at the birthline (BL) and after 1 Myr of birth (Fiorellino et al. 2021). Systematic errors are plotted as vertical bars and are 15% of the nominal values. Random errors represent around 5%.

Current usage metrics show cumulative count of Article Views (full-text article views including HTML views, PDF and ePub downloads, according to the available data) and Abstracts Views on Vision4Press platform.

Data correspond to usage on the plateform after 2015. The current usage metrics is available 48-96 hours after online publication and is updated daily on week days.

Initial download of the metrics may take a while.