Fig. 4

Download original image
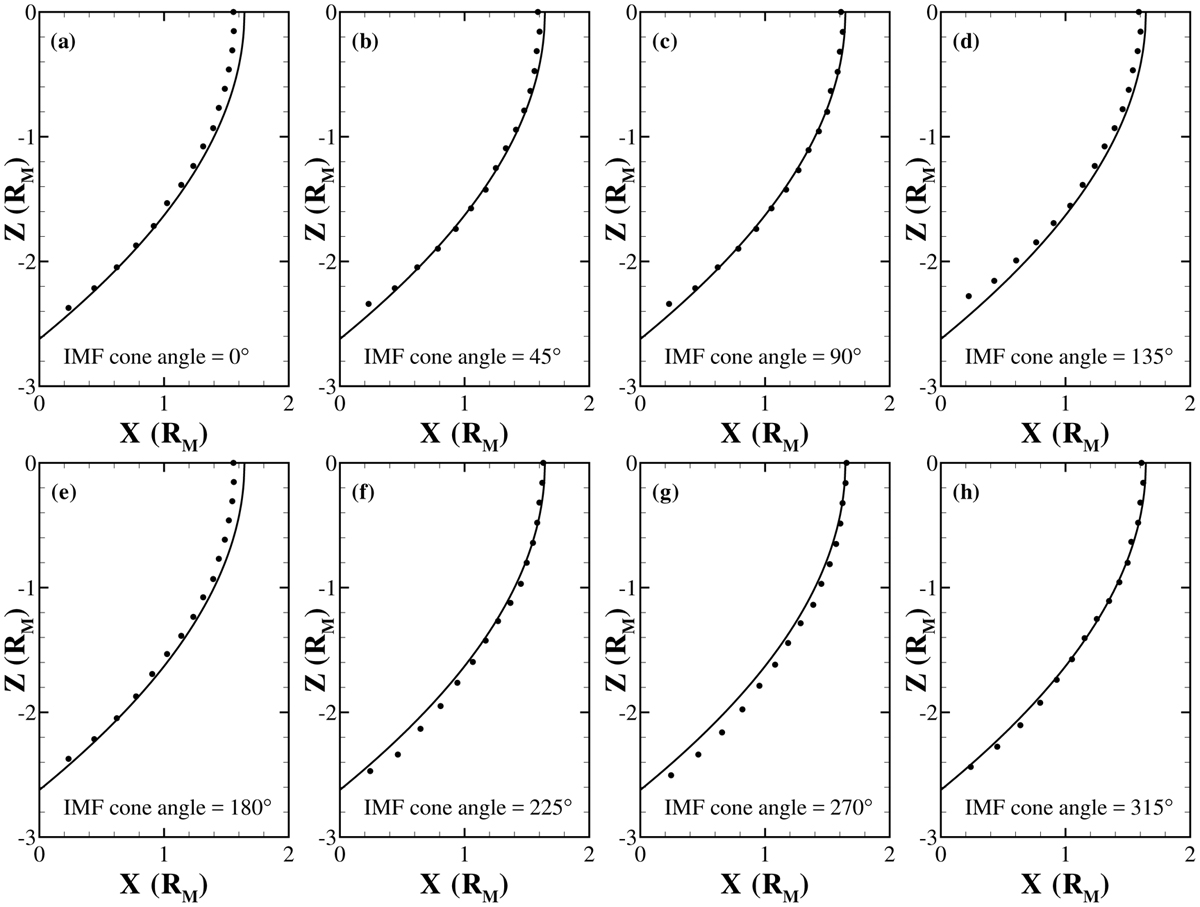
Martian bow shock locations in the southern hemisphere of the X–Z plane in the MSO coordinates for different IMF cone angles (same format as Fig. 3). The bow shock location is determined at the place where the radially inward gradient of the thermal pressure is maximized according to Wang et al. (2020b), and the lines are the bow shock model results of Vignes et al. (2000).
Current usage metrics show cumulative count of Article Views (full-text article views including HTML views, PDF and ePub downloads, according to the available data) and Abstracts Views on Vision4Press platform.
Data correspond to usage on the plateform after 2015. The current usage metrics is available 48-96 hours after online publication and is updated daily on week days.
Initial download of the metrics may take a while.