Fig. 14.

Download original image
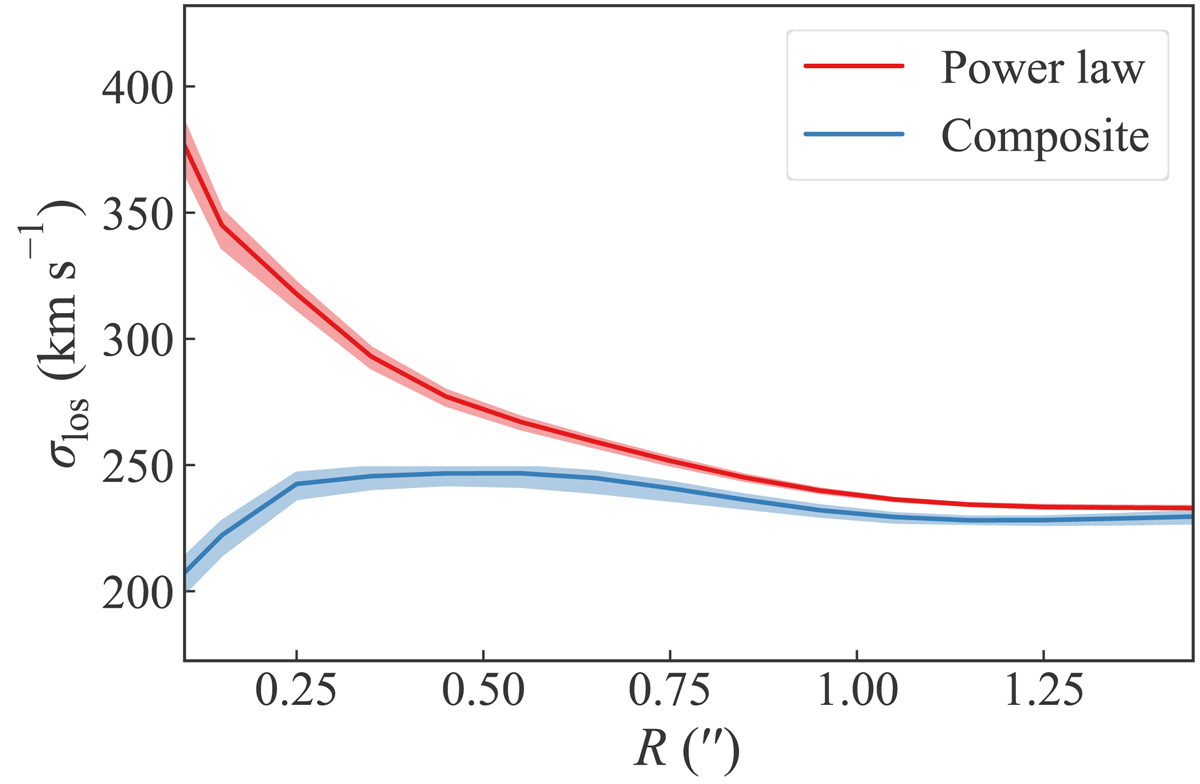
Line-of-sight velocity dispersion profile (circularized) corresponding to the lens model posteriors in the power-law (red) and composite (blue) models from LENSTRONOMY. Isotropic stellar orbits are assumed in computing these velocity dispersion profiles. The solid lines correspond to the median and the shaded regions encompass the 16th and 84th percentiles. The composite profile predicts a decrease in the velocity dispersion towards the centre due to the flattened core – which is not observed in local massive ellipticals (e.g. Cappellari 2016; Ene et al. 2019) – thus pointing to the atypicality of the posterior mass profile in the composite model.
Current usage metrics show cumulative count of Article Views (full-text article views including HTML views, PDF and ePub downloads, according to the available data) and Abstracts Views on Vision4Press platform.
Data correspond to usage on the plateform after 2015. The current usage metrics is available 48-96 hours after online publication and is updated daily on week days.
Initial download of the metrics may take a while.