Fig. 17.

Download original image
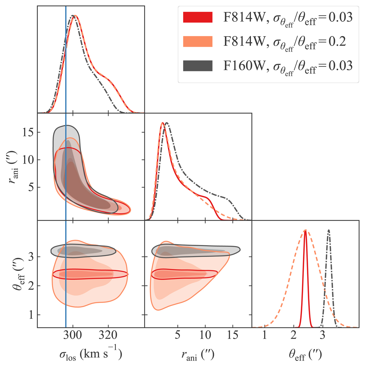
Checking for systematics in the kinematic computation. Our primary settings for kinematic computation adopts the F814W light profile with 3% uncertainty in θeff (red). The orange contours are for the case with 20% uncertainty in θeff, and the black contours are for the case with F160W light adopted in the kinematic computation. The vertical blue line marks the measured LOS velocity dispersion, which has an uncertainty of 19 km s−1. The difference in the computed velocity dispersion between these cases is negligible, and it impacts the Fermat potential differences by ≲0.1%.
Current usage metrics show cumulative count of Article Views (full-text article views including HTML views, PDF and ePub downloads, according to the available data) and Abstracts Views on Vision4Press platform.
Data correspond to usage on the plateform after 2015. The current usage metrics is available 48-96 hours after online publication and is updated daily on week days.
Initial download of the metrics may take a while.