Fig. 21.

Download original image
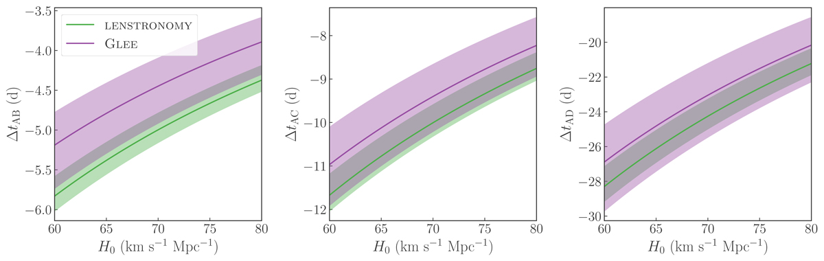
Comparison between the two modelling teams for the predicted time delays (un-blinded) as a function of H0 for the three image pairs, in flat ΛCDM cosmology with Ωm = 0.3. Each posterior is the final combined posterior from the two mass-model setups: power-law and composite, including external convergence and stellar kinematics, and assuming λint = 1.
Current usage metrics show cumulative count of Article Views (full-text article views including HTML views, PDF and ePub downloads, according to the available data) and Abstracts Views on Vision4Press platform.
Data correspond to usage on the plateform after 2015. The current usage metrics is available 48-96 hours after online publication and is updated daily on week days.
Initial download of the metrics may take a while.