Open Access
Fig. 17

Download original image
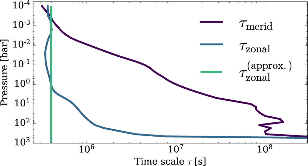
Zonal (τzonal) and meridional (τmerid) advection timescale computed from the GCM outcome of the model planet corresponding to Teff = 800 K with a M dwarf host star, presented in Baeyens et al. (2021). An approximate zonal timescale is computed with the fixed value for uwind used the chemistry simulations.
Current usage metrics show cumulative count of Article Views (full-text article views including HTML views, PDF and ePub downloads, according to the available data) and Abstracts Views on Vision4Press platform.
Data correspond to usage on the plateform after 2015. The current usage metrics is available 48-96 hours after online publication and is updated daily on week days.
Initial download of the metrics may take a while.