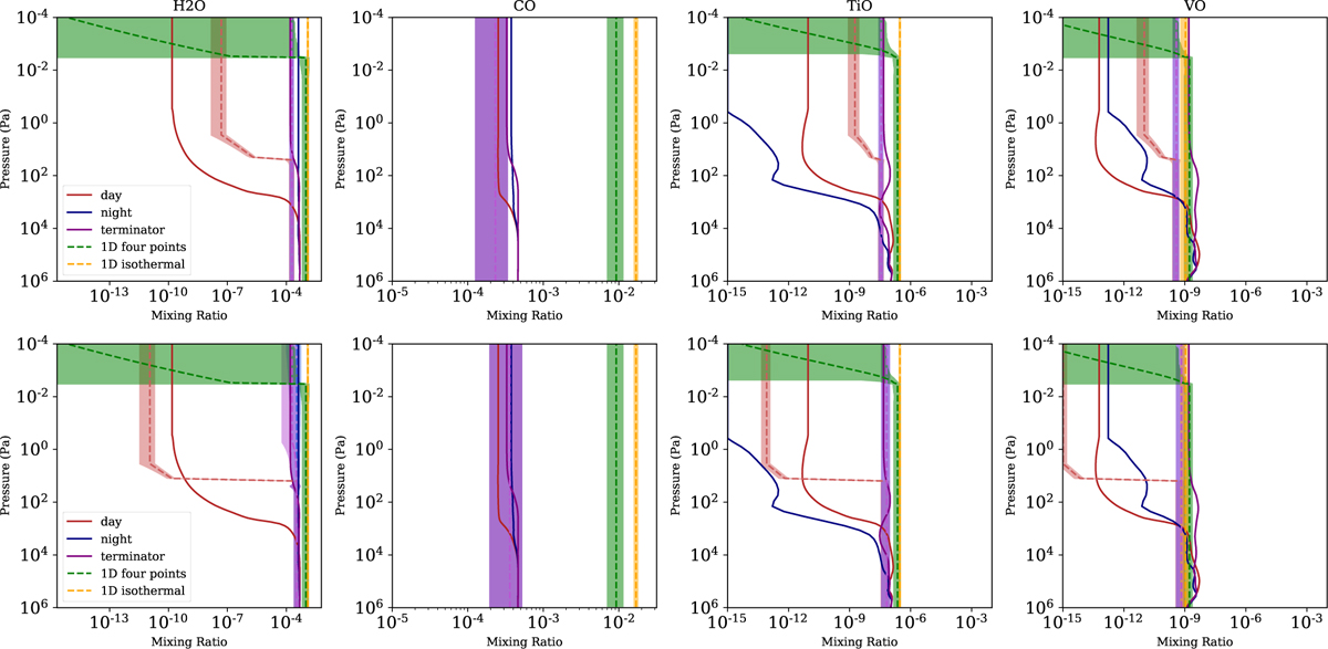
Fig. 15

Download original image
Mixing ratio for H2O, CO, TiO, and VO in the GCM test retrieval. The dashed lines are the values retrieved by TauREx, while the continuous lines represent the input value. The results from the 1D isothermal retrieval are in yellow and we show the solution found using a four-point PT profile forward model in green. For this retrieval, the terminator and the night-mixing ratios converged at the same values.
Current usage metrics show cumulative count of Article Views (full-text article views including HTML views, PDF and ePub downloads, according to the available data) and Abstracts Views on Vision4Press platform.
Data correspond to usage on the plateform after 2015. The current usage metrics is available 48-96 hours after online publication and is updated daily on week days.
Initial download of the metrics may take a while.