Open Access
Fig. 2

Download original image
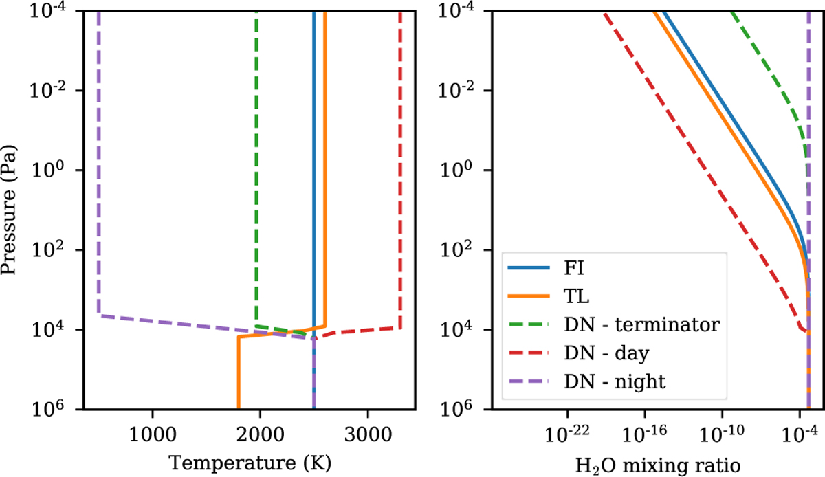
Pressure temperature (left) and log [H2O] mixing ratio (right) profiles for the three different test cases: FI, fully isothermal; TL, two layers; and DN, day-night cases. The DN case has been split into three curves showing the profiles at the therminator, the day side, and the night side.
Current usage metrics show cumulative count of Article Views (full-text article views including HTML views, PDF and ePub downloads, according to the available data) and Abstracts Views on Vision4Press platform.
Data correspond to usage on the plateform after 2015. The current usage metrics is available 48-96 hours after online publication and is updated daily on week days.
Initial download of the metrics may take a while.