Open Access

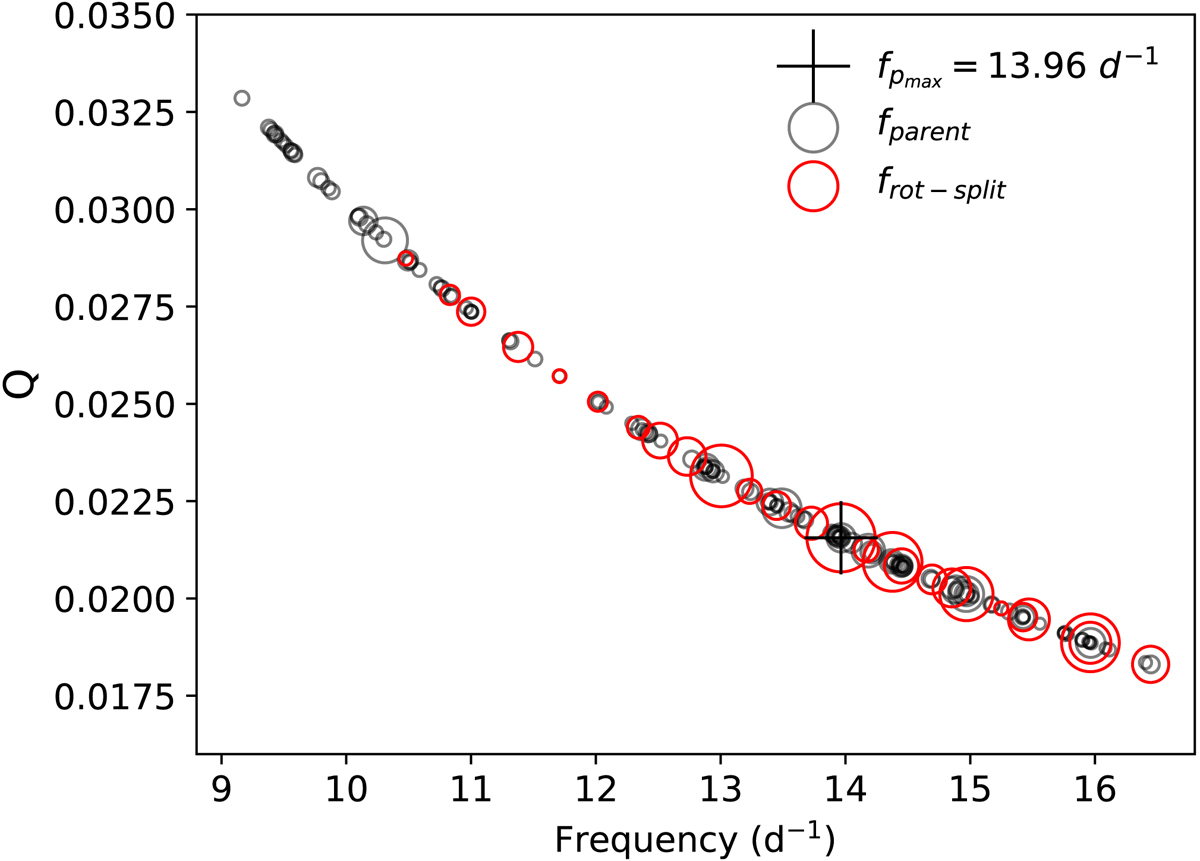
Fig. 10.

image

Download original image

Pulsation constants Q for the high frequencies revealed by the Fourier spectrum of KIC 6951642. Black circles show the parent frequencies (see Table A.3). Red circles show the rotationally split p modes (see Table 8). The marker’s size is associated with the amplitude of the p modes.

Current usage metrics show cumulative count of Article Views (full-text article views including HTML views, PDF and ePub downloads, according to the available data) and Abstracts Views on Vision4Press platform.

Data correspond to usage on the plateform after 2015. The current usage metrics is available 48-96 hours after online publication and is updated daily on week days.

Initial download of the metrics may take a while.