Open Access

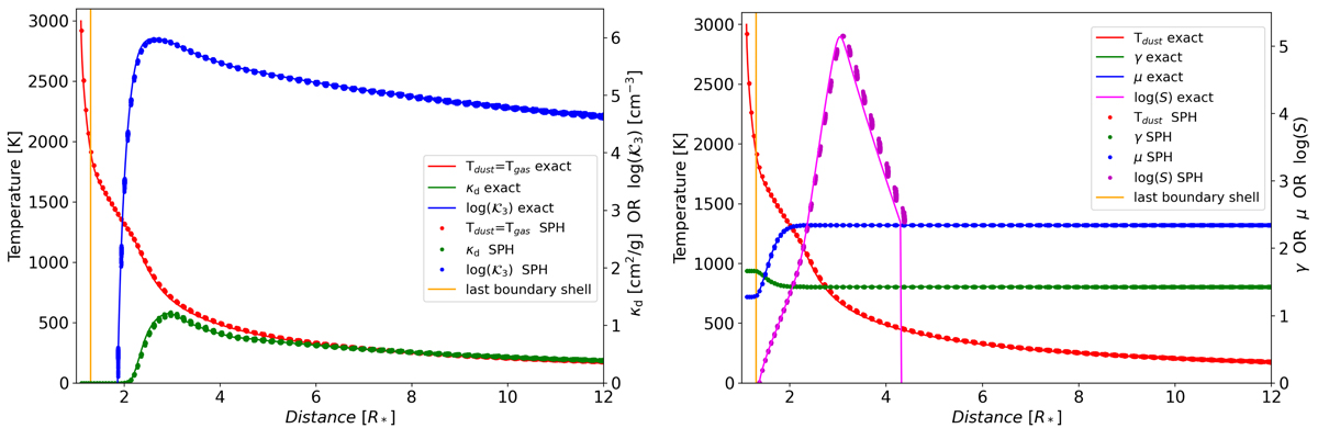
Fig. 10.

image

Download original image

Radial profiles of chemical and dust-related quantities. The temperature of the SPH gas, with which the dust is assumed to be fully thermalised, is shown in red. Left: the logarithm of the third moment 𝒦3 (blue), which represents the number density of condensing monomers from the gas phase into the dust, shown together with the dust opacity profile (green). Right: the mean molecular weight μ (blue), polytropic index γ (green), and the base 10 logarithm of the supersaturation ratio S (magenta) of the gas in the wind. A supersaturation ratio above unity implies favourable conditions for dust formation.

Current usage metrics show cumulative count of Article Views (full-text article views including HTML views, PDF and ePub downloads, according to the available data) and Abstracts Views on Vision4Press platform.

Data correspond to usage on the plateform after 2015. The current usage metrics is available 48-96 hours after online publication and is updated daily on week days.

Initial download of the metrics may take a while.