Open Access
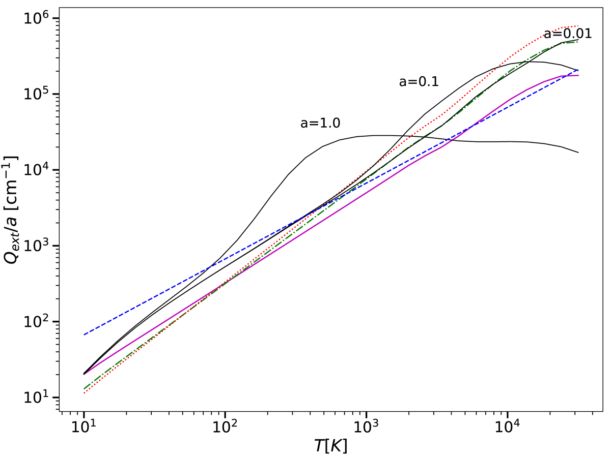
Fig. 3.

Download original image
Planck mean values of the dust extinction efficiency Qext for amorphous carbon grains with size a = 0.01, 0.1 and 1 μm (black solid lines, from Preibisch et al. 1993). For comparison, the approximations by Draine (1981; blue) and Winters et al. (2000) with n = 1.19 (magenta), 1.38 (green) and 1.46 (red) are shown.
Current usage metrics show cumulative count of Article Views (full-text article views including HTML views, PDF and ePub downloads, according to the available data) and Abstracts Views on Vision4Press platform.
Data correspond to usage on the plateform after 2015. The current usage metrics is available 48-96 hours after online publication and is updated daily on week days.
Initial download of the metrics may take a while.