Open Access

Fig. 7

image

Download original image

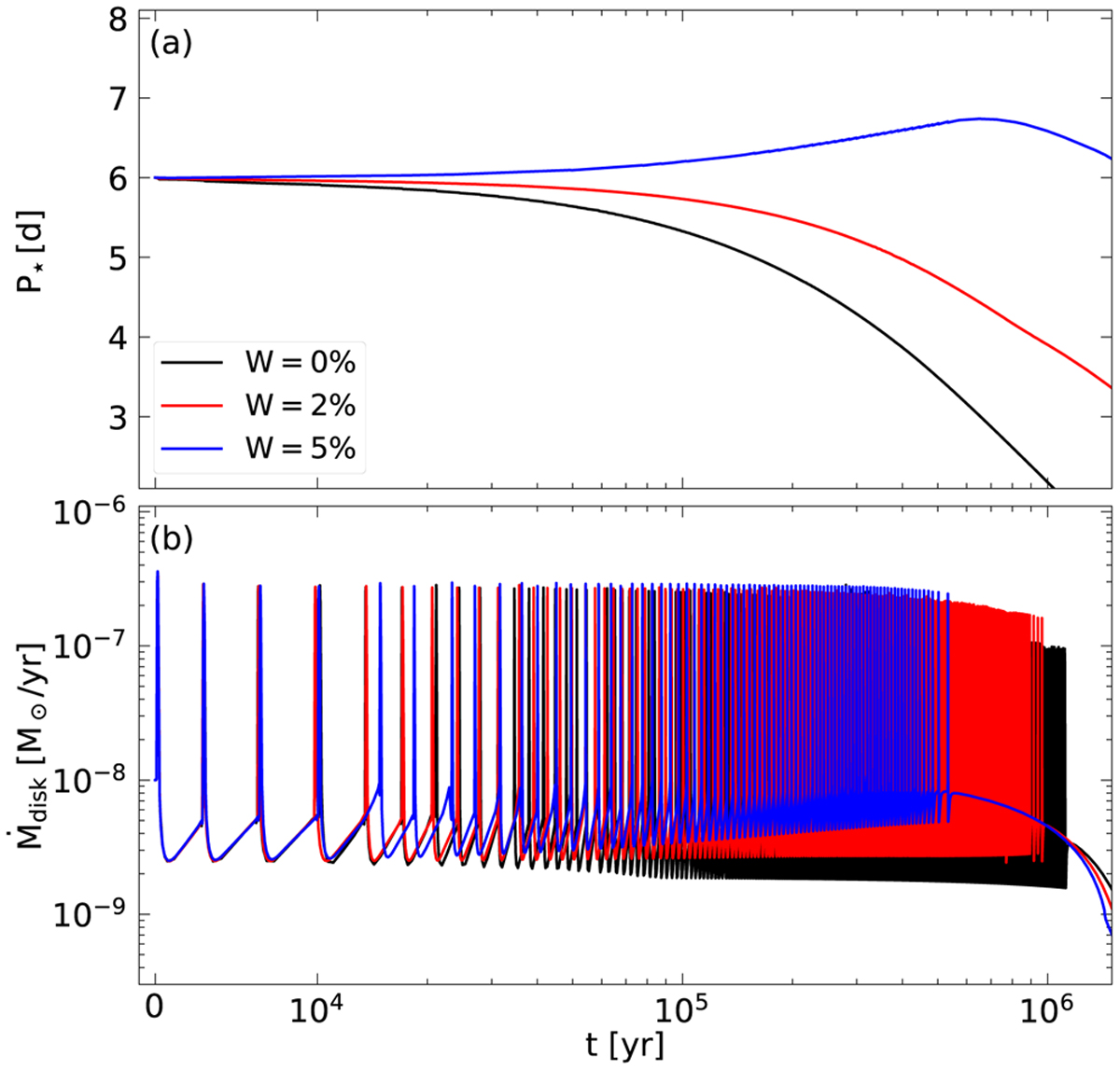
Stellar spin evolution for different stellar spin evolutionary tracks of the layered disk reference model with respect to the simulation time t in years starting from t0 = 1 Myr. Panel a shows the stellar rotational period P* for the reference model MrefB with W = 2% (red line) as well as for models with W = 0% (black line) and W = 5% (blue line). Panel b shows the disk accretion rate disk for the respective models.

Current usage metrics show cumulative count of Article Views (full-text article views including HTML views, PDF and ePub downloads, according to the available data) and Abstracts Views on Vision4Press platform.

Data correspond to usage on the plateform after 2015. The current usage metrics is available 48-96 hours after online publication and is updated daily on week days.

Initial download of the metrics may take a while.