Open Access

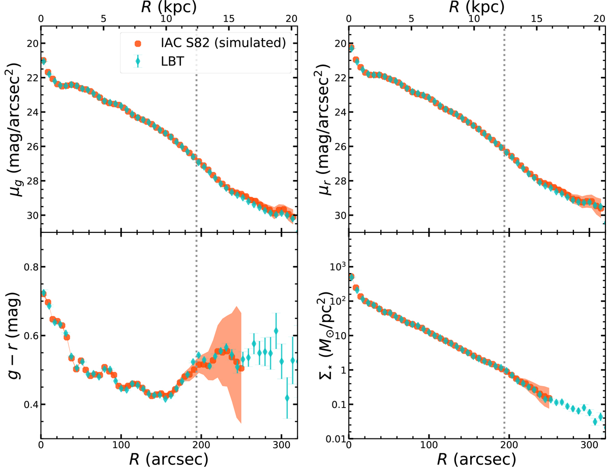
Fig. B.1.

image

Download original image

Radial profiles of NGC1042 from LBT (Trujillo et al. 2021) and simulated IAC Stripe 82 depth (this work, see text for details). The simulated profile is the median of 100 realisations and the shaded regions correspond to ± three standard deviations up to where the deviation from the median is less than 0.2 mag. The vertical grey line is located at the edge of the galaxy (R = 194″).

Current usage metrics show cumulative count of Article Views (full-text article views including HTML views, PDF and ePub downloads, according to the available data) and Abstracts Views on Vision4Press platform.

Data correspond to usage on the plateform after 2015. The current usage metrics is available 48-96 hours after online publication and is updated daily on week days.

Initial download of the metrics may take a while.