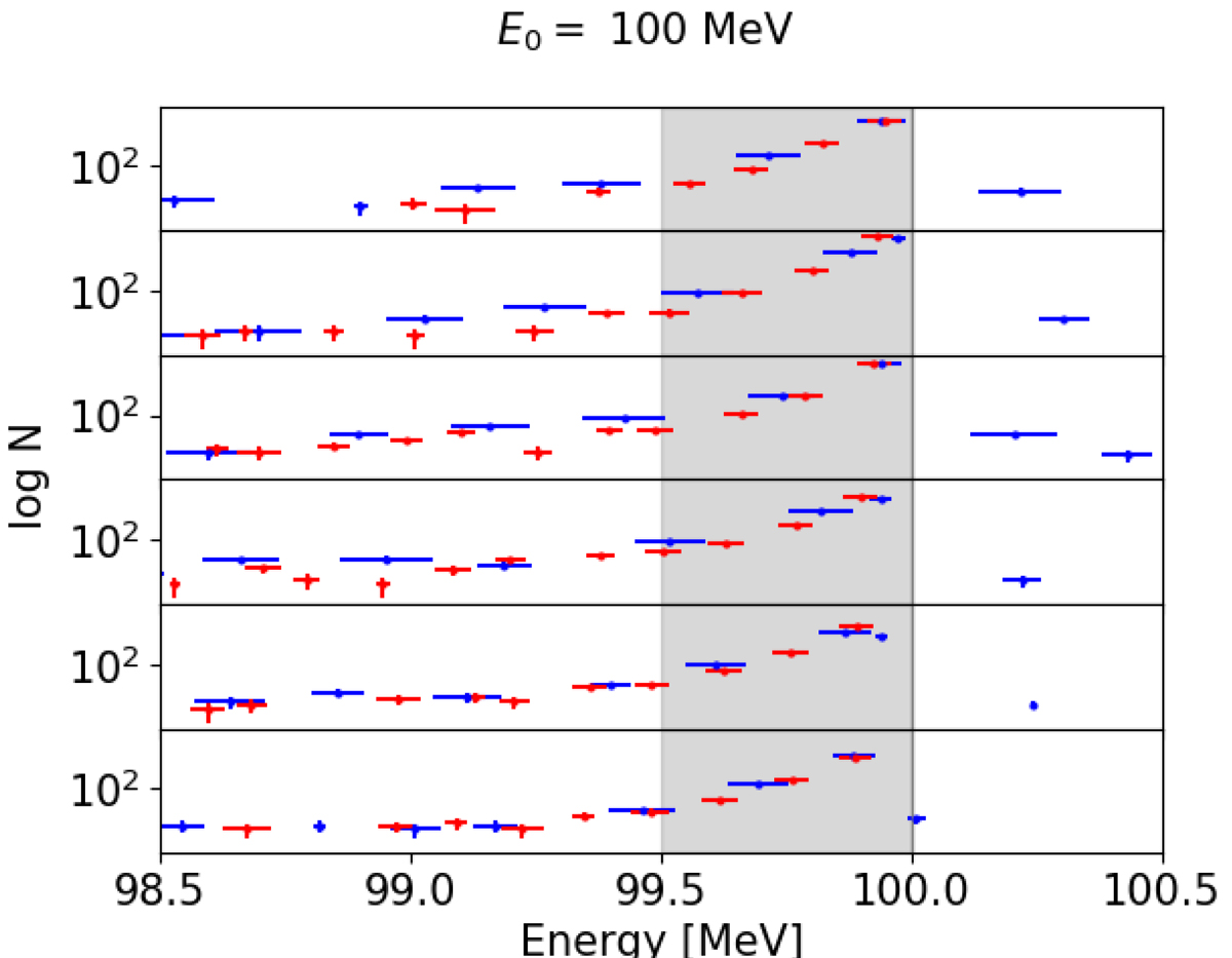
Fig. 7.

Download original image
Histogram of 100 MeV protons propagating in an inhomogeneous medium. The top plot represents the particles on the injection face reflected by the medium. The middle plots are at increasing depth, and the bottom represents transmission. The third and fourth plots from the top represent the interfaces with the inhomogeneous region. For comparison, the gray area shows the particle energy range in a homogeneous medium. The blue and red points do and do not include the effects of re-energization, respectively. The flat distribution in the lower energy range is the signature of trapping-enhanced ionization losses and small re-energization.
Current usage metrics show cumulative count of Article Views (full-text article views including HTML views, PDF and ePub downloads, according to the available data) and Abstracts Views on Vision4Press platform.
Data correspond to usage on the plateform after 2015. The current usage metrics is available 48-96 hours after online publication and is updated daily on week days.
Initial download of the metrics may take a while.