Open Access
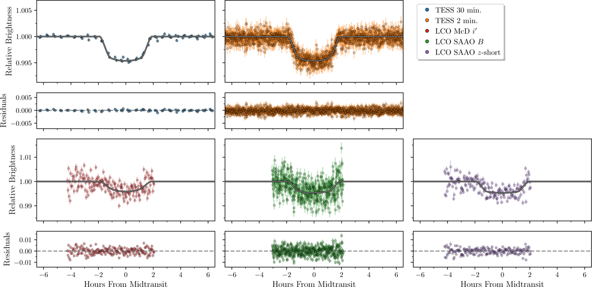
Fig. 3

Download original image
Photometry for TOI-2158. Our different photometric observations of TOI-2158 with the best-fitting transit model are shown with a grey line, and the residuals, following the subtraction of the best-fitting model, are shown below.
Current usage metrics show cumulative count of Article Views (full-text article views including HTML views, PDF and ePub downloads, according to the available data) and Abstracts Views on Vision4Press platform.
Data correspond to usage on the plateform after 2015. The current usage metrics is available 48-96 hours after online publication and is updated daily on week days.
Initial download of the metrics may take a while.