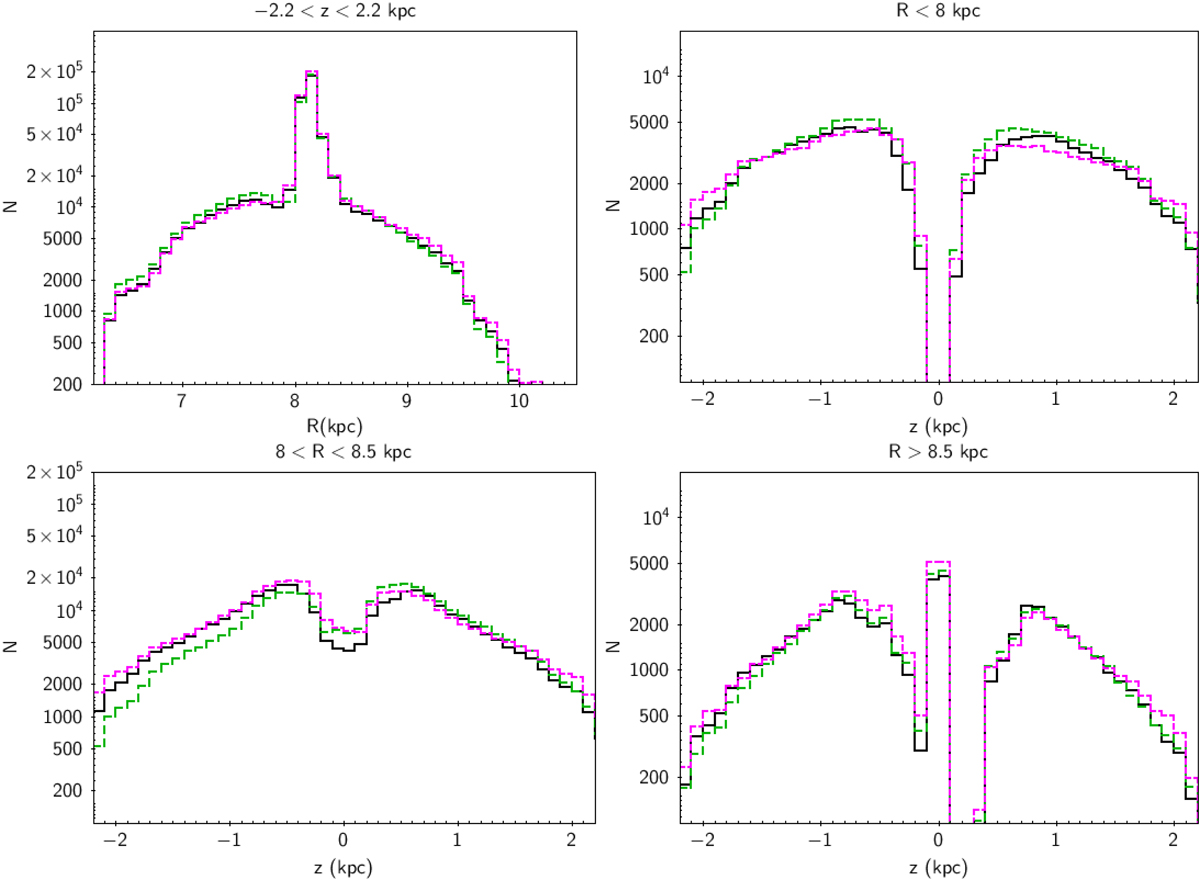
Fig. C.1.

Download original image
Histograms of star counts in the selected sample as a function of pseudo R (top left), pseudo z in inner Galaxy (R < 8 kpc, top right), at 8 < R < 8.5 kpc excluding the local sample (bottom left), towards outer Galaxy (R > 8.5, bottom right). Gaia data (black), previous BGM (green long dash), fitted dynamical model (magenta short dash).
Current usage metrics show cumulative count of Article Views (full-text article views including HTML views, PDF and ePub downloads, according to the available data) and Abstracts Views on Vision4Press platform.
Data correspond to usage on the plateform after 2015. The current usage metrics is available 48-96 hours after online publication and is updated daily on week days.
Initial download of the metrics may take a while.