Open Access

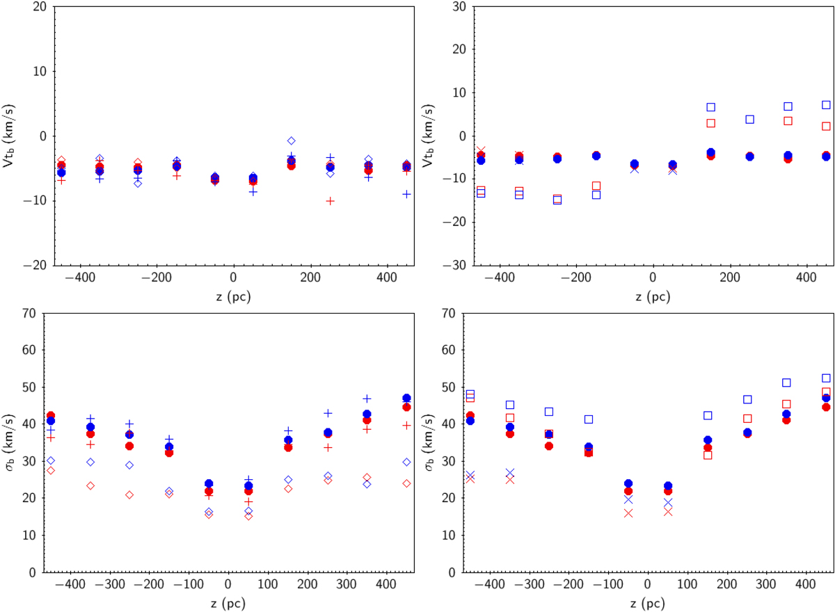
Fig. C.2.

image

Download original image

Median (top row) and dispersion (bottom row) of the transverse velocity Vtb as a function of z for different subsamples of the final model (red symbols) and data (blue symbols). Full circles are for the whole sample. Left panels: Early type stars ( < 4 and GRP < 0.55) (open diamonds), giants ( < 4 and GRP > = 0.55) (crosses). Right panels: Selection made on Galactocentric radii with R < 8 kpc (open square) and R > 9 kpc (x). Points where the number of stars is smaller than ten are considered as insignificant and are not presented.

Current usage metrics show cumulative count of Article Views (full-text article views including HTML views, PDF and ePub downloads, according to the available data) and Abstracts Views on Vision4Press platform.

Data correspond to usage on the plateform after 2015. The current usage metrics is available 48-96 hours after online publication and is updated daily on week days.

Initial download of the metrics may take a while.