Open Access
Fig. 6.

Download original image
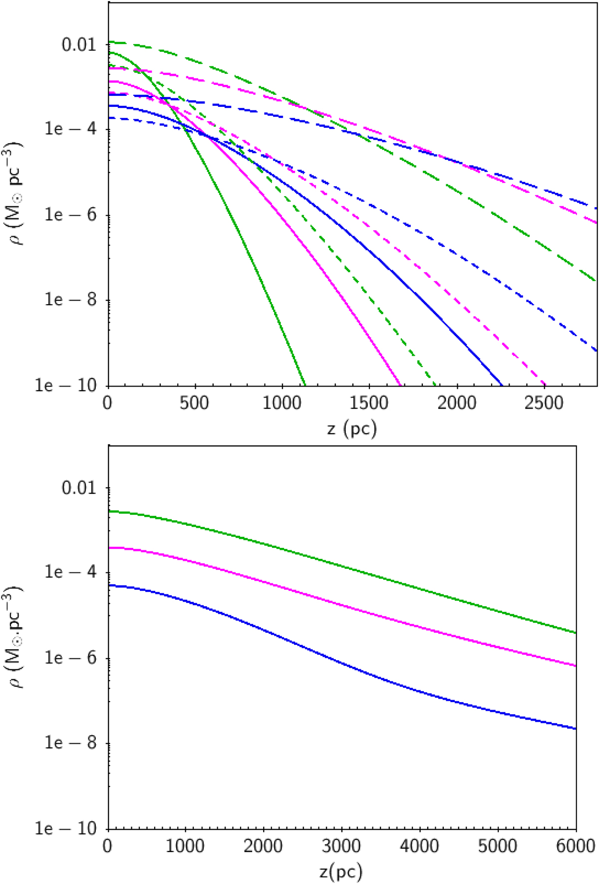
Density laws as a function of z for three different Galactocentric radii, R = 8, 12, and 16 kpc in green, magenta, and blue, respectively. Top panel: for thin disc components 2 (solid line), 4 (short dashed line), and 7 (long dashed line). Bottom panel: for young thick disc.
Current usage metrics show cumulative count of Article Views (full-text article views including HTML views, PDF and ePub downloads, according to the available data) and Abstracts Views on Vision4Press platform.
Data correspond to usage on the plateform after 2015. The current usage metrics is available 48-96 hours after online publication and is updated daily on week days.
Initial download of the metrics may take a while.