Fig. 1.

Download original image
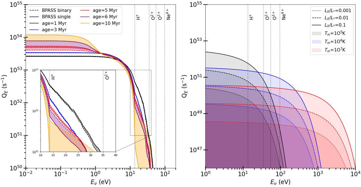
Stellar (left) and X-ray (right) incident SEDs of Cloudy models for a solar metallicity and bolometric luminosity of 109 L⊙. QE shows the number of photons produced above a given energy Eν. The vertical dashed lines represent the ionization potentials of H+ (13.6 eV), O2+ (35.1 eV), O3+ (54.9 eV) and Ne4+ (97.1 eV). Left-hand side: the dashed lines represent BPASS models with binary stars while the solid lines of the same color correspond to BPASS models without binary stars for a single stellar population of the same age. The change in the spectra due to the inclusion of binary stars is represented by the shaded area in between both lines. The insert shows a zoom around the Lyman edge at 912 Å where the additional contribution to ionizing photons is visible for ages above 3 Myr and increases with the age of the burst. Right-hand side: the colors represent different inner temperature of the multicolor blackbody and the different linestyles to different percentage of stellar luminosity: 0.001%, 0.01% and 0.1%.
Current usage metrics show cumulative count of Article Views (full-text article views including HTML views, PDF and ePub downloads, according to the available data) and Abstracts Views on Vision4Press platform.
Data correspond to usage on the plateform after 2015. The current usage metrics is available 48-96 hours after online publication and is updated daily on week days.
Initial download of the metrics may take a while.