Open Access

Fig. 4

image

Download original image

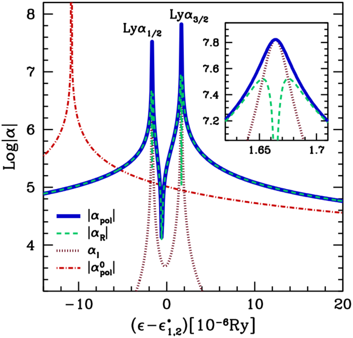
Polarizability in the Lyα1/2 (1s1/2 − 2p1/2) and Lyα3/2 (1s1/2 − 2p3/2) resonances (solid line). We note that denotes the mean energy of these transitions. Real and imaginary parts of the polarizability are detailed on the plot (dashed and dotted lines, respectively). The inner graph shows details of the Lyα3/2 core. Evaluation of Lyman-α resonance without the effects of a fine structure and finite lifetime is represented by a dot-dashed line.

Current usage metrics show cumulative count of Article Views (full-text article views including HTML views, PDF and ePub downloads, according to the available data) and Abstracts Views on Vision4Press platform.

Data correspond to usage on the plateform after 2015. The current usage metrics is available 48-96 hours after online publication and is updated daily on week days.

Initial download of the metrics may take a while.