Fig. A.1.

Download original image
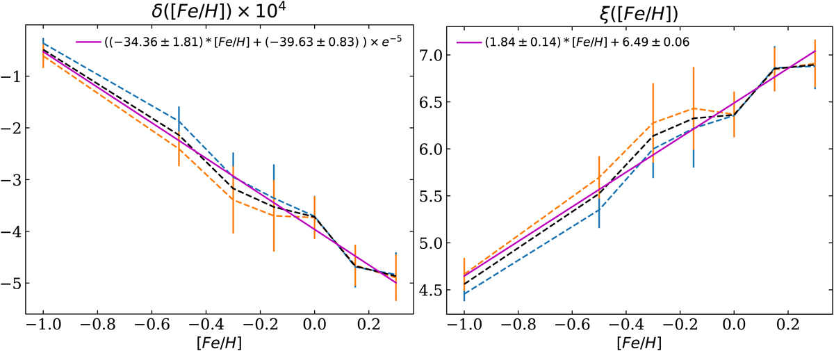
Left:δ slopes from Table A.1 as a function of [Fe/H]. Orange and blue correspond to medium and slow rotators, respectively. The dotted black line represents the δ mean for each metallicity index of the table, and the purple line is a linear regression of these mean values. Right: Similar to the left panel for y-intercepts ξ.
Current usage metrics show cumulative count of Article Views (full-text article views including HTML views, PDF and ePub downloads, according to the available data) and Abstracts Views on Vision4Press platform.
Data correspond to usage on the plateform after 2015. The current usage metrics is available 48-96 hours after online publication and is updated daily on week days.
Initial download of the metrics may take a while.