Open Access

Fig. 5.

image

Download original image

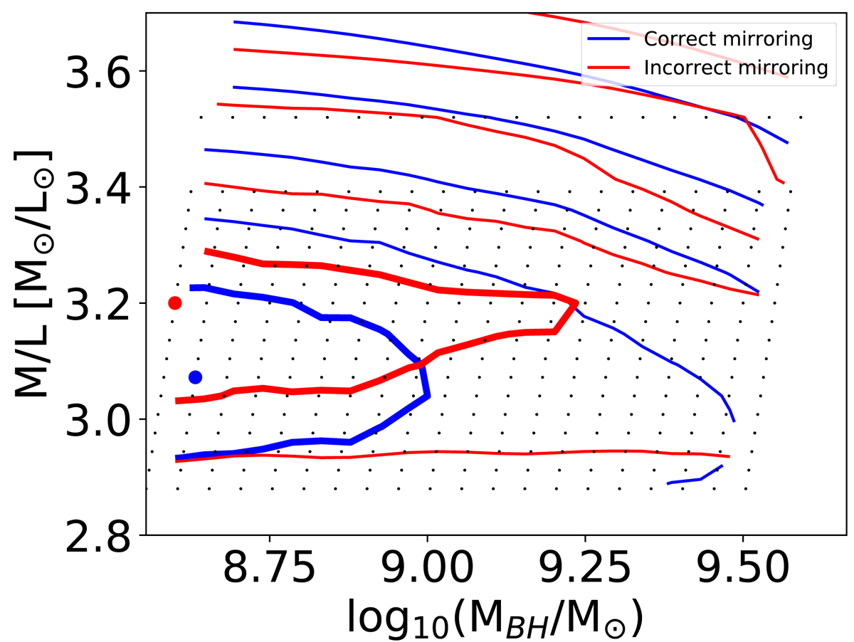
Contours describing the χ2 surfaces at different black hole masses MBH and mass to light ratios M/L. Red contours show the χ2 surface using the original version of the Schwarzschild code, and were previously presented in den Brok et al. (2021). Blue contours show the χ2 surface after correcting the mirroring bug in the code. Grey dots show the locations at which models were calculated. The thick contours contain models within of the best-fit model. The contours do not close for lower-mass black holes and we thus obtain an upper limit. The sphere of influence of a 109M black hole is about 0.05 arcsec which is well below the spatial resolution of the data (seeing FWHM ≈ 0.67 arcsec).

Current usage metrics show cumulative count of Article Views (full-text article views including HTML views, PDF and ePub downloads, according to the available data) and Abstracts Views on Vision4Press platform.

Data correspond to usage on the plateform after 2015. The current usage metrics is available 48-96 hours after online publication and is updated daily on week days.

Initial download of the metrics may take a while.