Fig. 1

Download original image
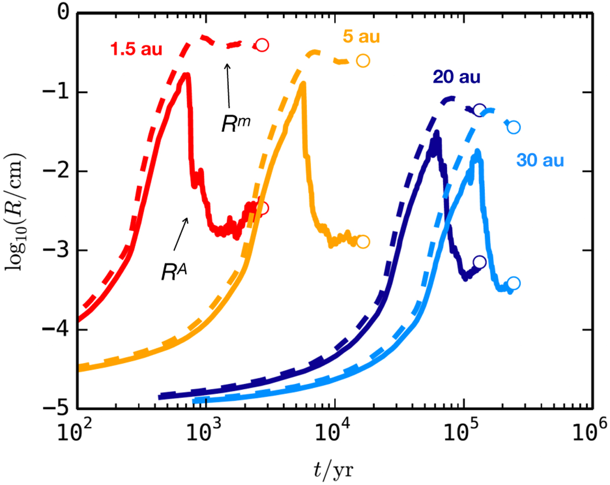
Evolution of the characteristic grain size over time at four heliocentric distances. Curves display the mass-dominating size Rm (dashed) and surface-area-dominating grain size RA (solid). After an initial phase of efficient coagulation (marked by Rm and RA increasing similarly), the creation of fragments in disruptive collisions acts to lower RA and halt growth altogether as a steady state is reached towards the end of the local simulations (shown as open white circles).
Current usage metrics show cumulative count of Article Views (full-text article views including HTML views, PDF and ePub downloads, according to the available data) and Abstracts Views on Vision4Press platform.
Data correspond to usage on the plateform after 2015. The current usage metrics is available 48-96 hours after online publication and is updated daily on week days.
Initial download of the metrics may take a while.