Open Access
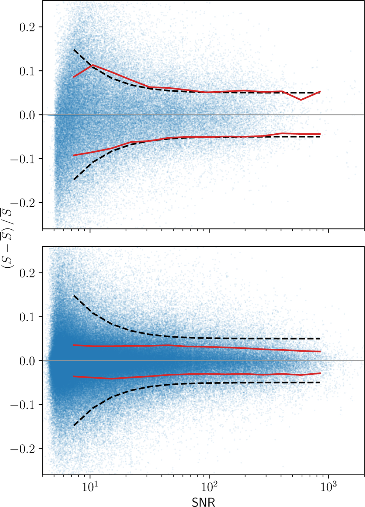
Fig. 6

Download original image
Flux measurements precision. Relative difference of the peak flux measurements over time (top) and between mosaic images (bottom) against the S/N of the sources. The dashed curves indicate average relative peak flux error. The solid curves display the 16 and 84 percentiles.
Current usage metrics show cumulative count of Article Views (full-text article views including HTML views, PDF and ePub downloads, according to the available data) and Abstracts Views on Vision4Press platform.
Data correspond to usage on the plateform after 2015. The current usage metrics is available 48-96 hours after online publication and is updated daily on week days.
Initial download of the metrics may take a while.