Open Access

Fig. 7

image

Download original image

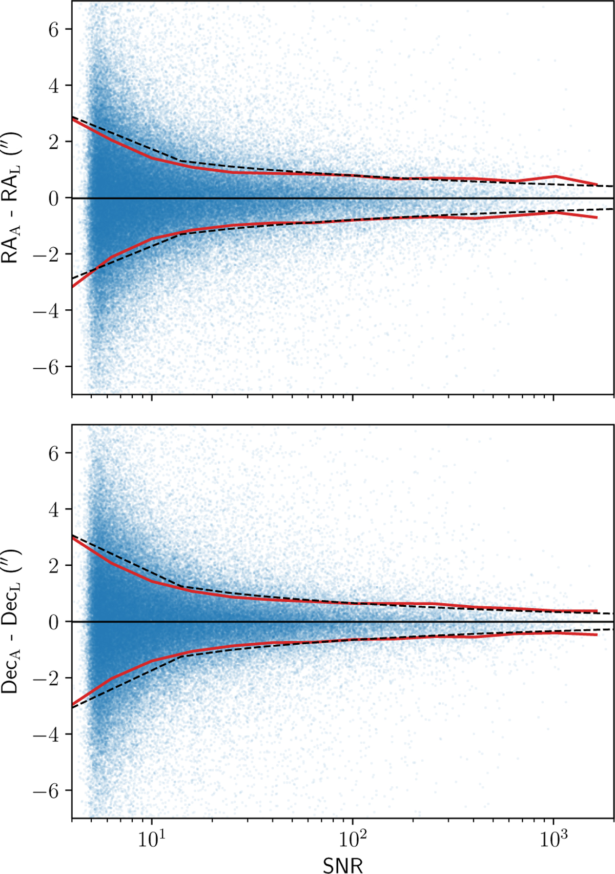
Astrometric accuracy. Coordinate offsets of the compact sources based on Apertif – LOFAR cross-match. Top: right ascension (RA). Bottom: declination (Dec). The horizontal lines indicate median value, the solid curves show the 16 and 84 percentiles, and the dashed curves show the corresponding hyperbola fit (see details in Appendix A).

Current usage metrics show cumulative count of Article Views (full-text article views including HTML views, PDF and ePub downloads, according to the available data) and Abstracts Views on Vision4Press platform.

Data correspond to usage on the plateform after 2015. The current usage metrics is available 48-96 hours after online publication and is updated daily on week days.

Initial download of the metrics may take a while.