Open Access
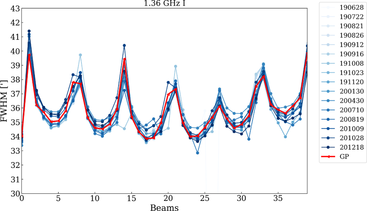
Fig. 12

Download original image
FWHM at 1.35 GHz (chan 5) for all 40 CBs for all data sets up to 201218 (blue lines), including the CB maps derived with the GP method (red line).
Current usage metrics show cumulative count of Article Views (full-text article views including HTML views, PDF and ePub downloads, according to the available data) and Abstracts Views on Vision4Press platform.
Data correspond to usage on the plateform after 2015. The current usage metrics is available 48-96 hours after online publication and is updated daily on week days.
Initial download of the metrics may take a while.