Fig. 4

Download original image
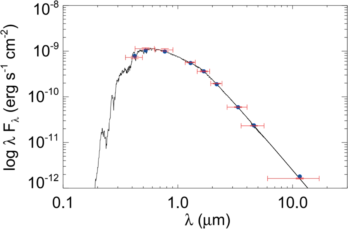
Spectral energy distribution computed for TOI-1422, where the black curve is the most likely atmospheric stellar model and the blue dots correspond to the model fluxes over each passband. The horizontal and vertical red error bars represent, respectively, the effective width of the passbands and the reported photometric measurement uncertainties (refer to the magnitudes in Table 1).
Current usage metrics show cumulative count of Article Views (full-text article views including HTML views, PDF and ePub downloads, according to the available data) and Abstracts Views on Vision4Press platform.
Data correspond to usage on the plateform after 2015. The current usage metrics is available 48-96 hours after online publication and is updated daily on week days.
Initial download of the metrics may take a while.